2020Ä꣬£¬£¬£¬£¬FDA¹²Åú×¼53¿îÐÂÒ©£¬£¬£¬£¬£¬Åú×¼ÐÂÒ©ÊýÄ¿ÔÚ½ü10ÄêÀïλ¾ÓµÚ¶þ¡£¡£¡£¡£¡£¡£¡£¡£
ËäÈ»£¬£¬£¬£¬£¬ÒßÇé¶Ô¸÷¼Ò¹«Ë¾µÄÒ©Î↑·¢ÍýÏ뱬·¢½Ï´óÓ°Ï죬£¬£¬£¬£¬Ò²¶Ô¸÷¹úÕþ¸®î¿Ïµ»ú¹¹µÄÒ»Ñùƽ³£ÔËÐÐÔì³ÉÁ˹¥»÷£¬£¬£¬£¬£¬¿ÉÊÇFDAÔÚ2020ÄêµÄÒ©Æ·ÉóÅúËÙÂÊË¿ºÁûÓзŻº£¬£¬£¬£¬£¬Ð¡·Ö×ÓÐÂÒ©¸üÊÇÒÔ38¸öÅú×¼Êý£¬£¬£¬£¬£¬³ÉΪÁË¡°»ñÅúй󡱡£¡£¡£¡£¡£¡£¡£¡£

´Ó¼²²¡ÁìÓòÀ´¿´£¬£¬£¬£¬£¬2020ÄêFDAÅú×¼µÄÐÂÒ©ÈÔÒÔÖ×ÁöÒ©¾Ó¶à£¬£¬£¬£¬£¬Õ¼±È34%£¨18/53£©£¬£¬£¬£¬£¬ÆäËûÕ¼½ÏÁ¿¸ßµÄ¼²²¡ÁìÓò»¹°üÀ¨Éñ¾£¨15%£¬£¬£¬£¬£¬8/53£©¡¢ÄÚÉøÍ¸´úл£¨9%£¬£¬£¬£¬£¬5/53£©¡¢Õï¶ÏÊÔ¼Á£¨7%£¬£¬£¬£¬£¬4/53£©¡¢Ñ¬È¾ÐÔ¼²²¡£¡£¡£¡£¡£¡£¡£¡£¨7%£¬£¬£¬£¬£¬4/53£©¡£¡£¡£¡£¡£¡£¡£¡£

´ÓÒ©Îï¼ÁÐÍÀ´¿´£¬£¬£¬£¬£¬2020ÄêFDAÅú×¼µÄÐÂÒ©ÖÐ×¢Éä¼Á×î¶à£¬£¬£¬£¬£¬Õ¼±È50%£¨26/53£©£¬£¬£¬£¬£¬Æä´ÎÊÇͨË׿ڷþƬ¼ÁºÍ½ºÄÒ¼Á¡£¡£¡£¡£¡£¡£¡£¡£

´ÓÉóÆÀ·½·¨ÉÏ¿´£¬£¬£¬£¬£¬½ñÄê¹²ÓÐ26¸öÐÂÒ©ÊÇÒÔ¡°ÓÅÏÈÉóÆÀ¡±µÄ·½·¨»ñµÃFDAÅú×¼ÉÏÊУ¬£¬£¬£¬£¬ÆäÖаüÀ¨23¸öС·Ö×ÓʵÌåºÍ3¸öÐÂÉúÎïÖÆÆ·¡£¡£¡£¡£¡£¡£¡£¡£ÓÐ31¸öÆ·ÖÖ±»FDAÊÚÓè¡°¹Â¶ùÒ©¡±×ʸñ£¬£¬£¬£¬£¬Õ¼ËùÓлñÅúÐÂÒ©µÄ58%¡£¡£¡£¡£¡£¡£¡£¡£

2020ÄêFDA»ñÅúµÄÐÂÒ©ÖУ¬£¬£¬£¬£¬ÓÐ9¿îÊôÓÚFirst-in-classÒ©Î£¬£¬£¬£¬ÏêϸƷÖÖÈçÏ£º

ÖµµÃÒ»ÌáµÄÊÇ£¬£¬£¬£¬£¬FDA»ñÅúÉÏÊеÄ53¿îÐÂÒ©ÖÐÓÐ38¸öÊÇС·Ö×ÓÒ©Îï½á¹¹£¬£¬£¬£¬£¬Õ¼±È³¬70%¡£¡£¡£¡£¡£¡£¡£¡£

1£¬£¬£¬£¬£¬Avapritinib (BLU-285) °¢·¥ÆÕÀûÄá
Avapritinib (BLU-285)ÊÇÒ»ÖÖС·Ö×Ó¼¤Ã¸ÒÖÖÆ¼Á£¬£¬£¬£¬£¬¿ÉÓÐÓÃÒÖÖÆPDGFR¦Á D842VÍ»±äÌåµÄ»îÐÔ¡¢ÔÚϸ°ûÅä¾°ÏÂÒÖÖÆPDGFR¦Á D842V×ÔÎÒÁ×Ëữ£¨IC50=30 nM£©£»£»£»£»£»Í¬Ê±Ò²ÊÇKITÍ»±ä£¨KIT D816V£©µÄÒÖÖÆ¼Á£¨IC50=0.5 nM£©¡£¡£¡£¡£¡£¡£¡£¡£

2£¬£¬£¬£¬£¬Tazemetostat (EPZ-6438)
Tazverik(tazemetostat) (EPZ-6438) ÊÇ×éÂѰ×Àµ°±Ëá¼×»ù×ªÒÆÃ¸£¨Histone-Lysine N-methyltransferase£©EZH2µÄÒÖÖÆ¼Á¡£¡£¡£¡£¡£¡£¡£¡£

3£¬£¬£¬£¬£¬Pizensy(ÈéÌÇ´¼)
PizensyÊÇÒ»ÖÖ¿Ú·þµÄÈé¹ûÌÇÀàËÆÎï¡£¡£¡£¡£¡£¡£¡£¡£ËüÊÇÒ»ÖÖÉøÍ¸ÐÔкҩ£¨osmotic laxitaive£©£¬£¬£¬£¬£¬¿ÉÔö½øË®·ÖÁ÷È볦µÀ£¬£¬£¬£¬£¬½ø¶øÔڽ᳦ÄÚµÖ´ïͨ±ã×÷Óᣡ£¡£¡£¡£¡£¡£¡£

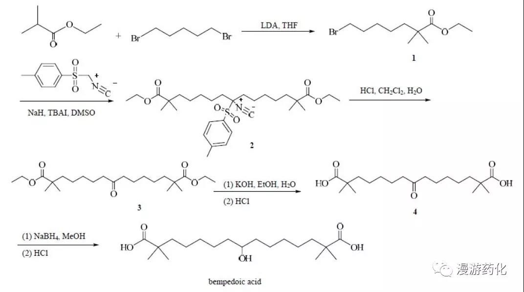
4£¬£¬£¬£¬£¬Nexletol (bempedoic acid)
bempedoic acidÓÉÃÀ¹úEsperion Therapeutic ¹«Ë¾Ñз¢£¬£¬£¬£¬£¬ÊÇÒ»ÖÖÖÎÁÆÑªÖ¬Òì³£¼°½µµÍÆäËûÐÄѪ¹Ü¼²²¡Î£º¦µÄÐÂÐÍС·Ö×Ó»¯ºÏÎï¡£¡£¡£¡£¡£¡£¡£¡£


5£¬£¬£¬£¬£¬Barhemsys(°±»Ç±ØÀû)
°±»Ç±ØÀûÊÇÒ»¸ö¶à°Í°·D2ºÍD3ÊÜÌå×è¶Ï¼Á£¬£¬£¬£¬£¬ÉÏÊÀ¼Í80ÄêÔÂ×îÏÈÓ¦ÓÃÓÚ¾«ÉñÆÆËéÖ¢ÖÎÁÆ¡£¡£¡£¡£¡£¡£¡£¡£

6£¬£¬£¬£¬£¬Nurtec ODT£¨rimegepant£©
Biohaven¹«Ë¾µÄ¿Ú·þCGRPÒÖÖÆ¼Árimegepant£¬£¬£¬£¬£¬ÓÃÓÚ³ÉÈËÆ«Í·Í´µÄ¼±ÐÔÖÎÁÆ¡£¡£¡£¡£¡£¡£¡£¡£

7£¬£¬£¬£¬£¬Isturisa(osilodrostat)
3ÔÂ6ÈÕ£¬£¬£¬£¬£¬FDAÅú×¼¿âÐÀ×ÛºÏÕ÷£¨Cushing syndrome£¬£¬£¬£¬£¬CS£©Ò»ÏßÓÃÒ©OsilodrostatÉÏÊУ¬£¬£¬£¬£¬ÉÌÆ·Ãû£ºIsturisa£¬£¬£¬£¬£¬»¼ÕßÎÞÂÛÊÇ·ñ½ÓÊÜÊܹý´¹ÌåÇгýÊÖÊõÖÎÁÆ£¬£¬£¬£¬£¬¶¼¿ÉÓ¦ÓÃOsilodrostat×÷ΪÖÎÁÆÒ©Îï¡£¡£¡£¡£¡£¡£¡£¡£OsilodrostatÊÇFDAÅú×¼µÄÊ׸ö11-¦ÂôÇ»¯Ã¸ÒÖÖÆ£¬£¬£¬£¬£¬¿ÉÖ±½Ó×è¶ÏÉöÉÏÏÙÆ¤ÖÊ´¼ºÏ³É¡£¡£¡£¡£¡£¡£¡£¡£

8£¬£¬£¬£¬£¬Zeposia(ozanimod)
ozanimod£¨ÉÌÆ·ÃûZEPOSIA£©£¬£¬£¬£¬£¬ÓÃÓÚ³ÉÈ˸´·¢ÐÔMS£¨RRMS£©»¼ÕßµÄÖÎÁÆ¡£¡£¡£¡£¡£¡£¡£¡£

9£¬£¬£¬£¬£¬Selumetinib£¨Ë¾ÃÀÌæÄᣩ
Selumetinib £¨Ë¾ÃÀÌæÄᣩ£¨ARRY-142886 ; AZD6244£©ÊÇÒ»ÖÖMEK 1/2ÒÖÖÆ¼ÁºÍDZÔÚµÄÐÂÒ©£¬£¬£¬£¬£¬ÓÉAlstraZenecaÓÚ2003Äê»ñµÃArray BioPharma Inc.µÄÔÊÐí¡£¡£¡£¡£¡£¡£¡£¡£°¢Ë¹Àû¿µºÍMSDÓÚ2017ÄêÇ©ÊðÁËselumetinibµÄÅäºÏ¿ª·¢ºÍÍŽáÉÌÒµ»¯ÐÒé¡£¡£¡£¡£¡£¡£¡£¡£

10£¬£¬£¬£¬£¬Tukysa(Tucatinib)
Tukysa£¨Tucatinib£©Í׿¨ÌæÄá /ͼ¿¨ÌæÄá (ONT-380)ÊÇÒ»ÖÖ¿Ú·þTKI(ÀÒ°±Ëἤø)ÒÖÖÆ¼Á£¬£¬£¬£¬£¬¶ÔHER2¾ßÓи߶ÈÌØÒìÐÔ£¬£¬£¬£¬£¬µ«¶ÔͬÊôÈË±íÆ¤Éú³¤Òò×ÓÊÜÌå¼Ò×åµÄEGFRûÓÐÏÔ×ÅÒÖÖÆ×÷Óᣡ£¡£¡£¡£¡£¡£¡£

11£¬£¬£¬£¬£¬Pemigatinib £¨ÅÁÃ×¼ÓÌæÄᣩ
Pemigatinib£¨INCB054828£©ÊÇÒ»ÖÖ¿Ú·þÓÐÓõ쬣¬£¬£¬£¬Ñ¡ÔñÐÔFGFRÒÖÖÆ¼Á£¬£¬£¬£¬£¬Ëü¶ÔFGFR1£¬£¬£¬£¬£¬FGFR2£¬£¬£¬£¬£¬FGFR3£¬£¬£¬£¬£¬FGFR4µÄIC50Öµ»®·ÖΪ0.4 nM£¬£¬£¬£¬£¬0.5 nM£¬£¬£¬£¬£¬1.2 nMºÍ30 nM¡£¡£¡£¡£¡£¡£¡£¡£

12£¬£¬£¬£¬£¬Ongentys(opicapone)

13£¬£¬£¬£¬£¬INCB28060 (Capmatinib) ¿¨ÂíÌæÄ᣻£»£»£»£»±½ÔúÃ×ÌØ
INCB28060ÊÇÒ»ÖÖÐÂÐÍ£¬£¬£¬£¬£¬ ATP¾ºÕùÐÔµÄc-METÒÖÖÆ¼Á£¬£¬£¬£¬£¬IC50Ϊ0.13 nM£¬£¬£¬£¬£¬ÒÖÖÆRON¦Â£¬£¬£¬£¬£¬ EGFRºÍHER-3»îÐÔ¡£¡£¡£¡£¡£¡£¡£¡£

14£¬£¬£¬£¬£¬Selpercatinib (LOXO-292) Èû¶ûÅÁÌæÄá
Selpercatinib£¨LOXO-292£©ÊÇÒ»ÖÖÓÐÓõ쬣¬£¬£¬£¬ÌØÒìÐÔRETÒÖÖÆ¼Á¡£¡£¡£¡£¡£¡£¡£¡£

15£¬£¬£¬£¬£¬Ripretinib ÈðÆÕÌæÄá
Ripretinib£¨DCC-2618£©ÊÇÒ»ÖÖ¾ßÓпڷþ»îÐԵ쬣¬£¬£¬£¬Ñ¡ÔñÐÔµÄKITºÍPDGFR-alphaÒÖÖÆ¼Á¡£¡£¡£¡£¡£¡£¡£¡£

16£¬£¬£¬£¬£¬ Cerianna (fluoroestradiol F18)

17£¬£¬£¬£¬£¬Artesunate£¨ÇàÝïçúõ¥£©
ÇàÝïçúõ¥ÊÇÒ»Àà¿ØÖÆÅ±¼²Ö¢×´µÄ¿¹Å±Ò©¡£¡£¡£¡£¡£¡£¡£¡£

18£¬£¬£¬£¬£¬Tauvid£¨flortaucipir F18£©
Tauvid£¨flortaucipir F18£©ÊǵÚÒ»ÖÖ»ñµÃFDAÅú×¼£¬£¬£¬£¬£¬×ÊÖú¶Ô´óÄÔÖеÄtau²¡Àí¾ÙÐгÉÏñµÄÒ©Îï¡£¡£¡£¡£¡£¡£¡£¡£TauvidÊÇÒ»ÖÖ·ÅÉäÐÔÕï¶ÏÊÔ¼Á£¬£¬£¬£¬£¬ÓÃÓÚÐèÒª½ÓÊܰ¢¶û´Äº£Ä¬²¡ÆÀ¹ÀµÄÈÏÖªÕϰ³ÉÈË»¼Õß¡£¡£¡£¡£¡£¡£¡£¡£

19£¬£¬£¬£¬£¬Lurbinectedin£¨Â¬±È¿ËÌæ¶¨£©
lurbinectedinÊÇPharmaMarÑз¢µÄº£ÇÊËØÑÜÉúÎ£¬£¬£¬£¬ÎªÖ×ÁöÁ¢ÒìÒ©¡£¡£¡£¡£¡£¡£¡£¡£ÏÖÔÚ£¬£¬£¬£¬£¬ÂÌÒ¶ÖÆÒ©ÓëPharmaMarÔÚ»ªºÏ×÷ÅäºÏ¿ª·¢¸ÃÒ©Îï¡£¡£¡£¡£¡£¡£¡£¡£

20£¬£¬£¬£¬£¬Dojolvi£¨triheptanoin£©Èý¸ýËá¸ÊÓÍõ¥
Dojolvi£¨triheptanoin£©Èý¸ýËá¸ÊÓÍõ¥£¬£¬£¬£¬£¬ÊÇÒ»Öָߴ¿¶È¡¢È˹¤ºÏ³ÉµÄ7̼֬·¾Ëá¸ÊÓÍÈýõ¥£¬£¬£¬£¬£¬ÔÚ¸ÊÓ͹ǼÜÉÏͨ¹ý¶à¸ö»¯Ñ§ºÏ³É°ì·¨Ìí¼ÓÁËÈý¸ö7̼֬·¾ËáÐγɡ£¡£¡£¡£¡£¡£¡£¡£×¨ÃÅΪLC-FAOD»¼ÕßÌṩÖÐÁ´¡¢ÆæÊý̼֬·¾Ëá×÷ΪÄÜÔ´ºÍ´úл²úÆ·Ìæ»»Æ·¡£¡£¡£¡£¡£¡£¡£¡£

21£¬£¬£¬£¬£¬Fostemsavir(BMS-663068)
Fostemsavir (BMS-663068) ÊÇ BMS-626529 µÄÔÒ©£¬£¬£¬£¬£¬ÄÜÍŽágp120£¬£¬£¬£¬£¬ÒÖÖÆ HIV-1 Óëϸ°û CD4 ÊÜÌåµÄÍŽᡣ¡£¡£¡£¡£¡£¡£¡£

22£¬£¬£¬£¬£¬Byfavo£¨Remimazolam£©ÈðÃ×ßòÂØ/À×Ã×ÂíßòÂØ
Byfavo£¨Remimazolam£©ÈðÃ×ßòÂØ/À×Ã×ÂíßòÂØ ÊÇÒ»ÖÖÆðЧºÍʧЧѸËٵľ²Âö×¢Éä±½¶þµª×¿£¨benzodiazepine£©Õò¾²¼Á¡£¡£¡£¡£¡£¡£¡£¡£¿£¿£¿£¿£¿£¿£¿£¿ÉÓÃÓÚÔÚʱ³¤²»Áè¼Ý30·ÖÖÓµÄÓд´Ò½ÁƳÌÐòÖУ¬£¬£¬£¬£¬ÀýÈç½á³¦¾µ¼ì²éºÍÖ§Æø¹Ü¾µ¼ì²é¡£¡£¡£¡£¡£¡£¡£¡£

23£¬£¬£¬£¬£¬Inqovi(cedazuridine+µØÎ÷Ëû±õ)
Inqovi£¨cedazuridine/decitabine[µØÎ÷Ëû±õ]£¬£¬£¬£¬£¬¿Ú·þC-DEC£¬£¬£¬£¬£¬ASTX727£©£¬£¬£¬£¬£¬¸ÃÒ©ÓÃÓÚ¹ÇËèÔöÉúÒì³£×ÛºÏÖ¢£¨MDS£©ºÍÂýÐÔ¹ÇËèµ¥ºËϸ°û°×Ѫ²¡£¨CMML£©³ÉÈË»¼ÕßµÄÖÎÁÆ¡£¡£¡£¡£¡£¡£¡£¡£

24£¬£¬£¬£¬£¬Xeglyze(Abametapir)
Xeglyze£¨Abametapir£©0.74£¥ Ï´»¤¼Á ÊÇÒ»ÖÖ½ðÊôÂѰ×øÒÖÖÆ¼Á£¬£¬£¬£¬£¬½ðÊôÂѰ×øÊǶԳæÂÑ·¢ÓýºÍÈô³æºÍ³É³æÊ×Ó´æ»î£¬£¬£¬£¬£¬ÖÁ¹ØÖ÷ÒªµÄÐÄÀíÀú³ÌËù±ØÐèµÄø¡£¡£¡£¡£¡£¡£¡£¡£

25£¬£¬£¬£¬£¬Nifurtimox (Synonyms: Ïõß»ÌæÄª)
Nifurtimox ÊÇÒ»ÖÖÓÃÓÚ×¶³æ²¡ (Trypanosoma cruzi) µÄ¿¹³æ¼Á¡£¡£¡£¡£¡£¡£¡£¡£Nifurtimox ÓÐDZÁ¦ÓÃÓÚÉñ¾Ä¸Ï¸°ûÁöϸ°ûµÄÑо¿¡£¡£¡£¡£¡£¡£¡£¡£Nifurtimox Ó°ÏìÈéËáÍÑÇâø (LDH) »îÐÔ¡£¡£¡£¡£¡£¡£¡£¡£

26£¬£¬£¬£¬£¬Olinvyk£¨oliceridine£©
OlinvykµÄ»îÐÔÒ©ÎïÒòËØÎªoliceridine£¬£¬£¬£¬£¬ÕâÊÇÒ»ÖÖÊ×´´µÄ£¨first-in-class£©¾²ÂöÕòÍ´Ò©¡£¡£¡£¡£¡£¡£¡£¡£oliceridineÊÇÊ׸öGÂѰ×Ñ¡ÔñÐÔ¼¤¶¯¼Á£¬£¬£¬£¬£¬Óë¾²Âö×¢ÉäÂð·ÈÏà±È£¬£¬£¬£¬£¬ÕòʹЧ¹û¸üºÃ¡£¡£¡£¡£¡£¡£¡£¡£oliceridineÒԦ̰¢Æ¬ÊÜÌåΪ°Ðµã£¬£¬£¬£¬£¬Í¨¹ýÒ»ÖÖÓÅ»¯×÷ÓûúÖÆ£¨MOA£©£¬£¬£¬£¬£¬ÓÅÏȼÓÈëÈÏÕæÁÆÐ§µÄÐźÅͨ·£¬£¬£¬£¬£¬ïÔÌÒýÆð²»Á¼·´Ó¦µÄÐźÅͨ·µÄ¼¤»î¡£¡£¡£¡£¡£¡£¡£¡£

risdiplamÊÇÖÎÁÆËùÓÐ3ÖÖÀàÐÍSMAµÄÊ׸ö¿Ú·þÒ©Îï¡£¡£¡£¡£¡£¡£¡£¡£

28£¬£¬£¬£¬£¬Winlevi(clascoterone)
Clascoterone£¨ÓÖ³ÆCB-03-01£©ÊÇÒ»ÖÖ¾Ö²¿ÐÛ¼¤ËØÊÜÌ壨AR£©ÒÖÖÆ¼Á£¬£¬£¬£¬£¬¸ÃÐµĻ¯Ñ§ÊµÌåÕýÔÚ¿ª·¢ÖÎÁÆðî´¯£¨Ôݶ¨Æ·ÅÆÃûΪWinlevi£©ºÍÄÐÅ®ÐÔÍÑ·¢£¨Ôݶ¨Æ·ÅÆÃûBreezula£©¡£¡£¡£¡£¡£¡£¡£¡£Æ¾Ö¤ÃÀ¹úFDAÉó²éÆä1%Ũ¶ÈÖÎÁÆðî´¯ÒÔ¼°ºóÆÚ¿ª·¢Æä¸ßŨ¶ÈÈÜÒºÖÎÁÆÄÐÐÔÐÛ¼¤ËØÐÛÐÔÍÑ·¢µÄЧ¹û£¬£¬£¬£¬£¬Æä±»ÒÔΪÊÇÒ»ÖÖ¡°first-in-class¡±Ò©Îï¡£¡£¡£¡£¡£¡£¡£¡£ÖµµÃÒ»ÌáµÄÊÇ£¬£¬£¬£¬£¬ÕâÊǽü40ÄêÀ´Õë¶Ôðî´¯ÖÎÁƵÄÊ׸öлúÖÆÒ©Îï¡£¡£¡£¡£¡£¡£¡£¡£

29£¬£¬£¬£¬£¬Detectnet£¨Cu 64 DOTATATE£©·ÅÉäÐÔÕï¶ÏÊÔ¼Á Í64ÑÎËáÑÎ
DetectnetÊÇÊ׿Cu 64·ÅÉäÐÔÍ¬Î»ËØÓëÉú³¤ÒÖËØÀàËÆÎïDOTATATEżÁªµÄÕï¶ÏÊÔ¼Á¡£¡£¡£¡£¡£¡£¡£¡£

30£¬£¬£¬£¬£¬Pralsetinib ÆÕÀ×Î÷ÌæÄá
Pralsetinib (Blu-667) ÊÇÐÂÒ»´úµÄ£¬£¬£¬£¬£¬¸ßЧµÄ£¬£¬£¬£¬£¬Ñ¡ÔñÐÔRETÒÖÖÆ¼Á£¬£¬£¬£¬£¬¹ØÓÚWT RET£¬£¬£¬£¬£¬RETÍ»±äÌåV804L£¬£¬£¬£¬£¬V804M£¬£¬£¬£¬£¬M918TºÍCCDC6-RETµÄIC50Ϊ0.3-0.4 nM¡£¡£¡£¡£¡£¡£¡£¡£

31£¬£¬£¬£¬£¬ÈðµÂÎ÷Τ£¨Remdesivir£©
2020Äê10ÔÂ22ÈÕ£¬£¬£¬£¬£¬ÃÀ¹úʳÎïÒ©Æ·¹ÜÀí¾Ö£¨FDA£©Åú×¼Á˼ªÏéµÂ¿ÆÑ§µÄ¿¹²¡¶¾Ò©ÎïÈðµÂÎ÷ΤÓÃÓÚÖÎÁÆÐ¹ÚסԺ»¼Õߣ¬£¬£¬£¬£¬³ÉΪÃÀ¹úÊ׸öÕýʽ»ñÅúµÄйÚÖÎÁÆÒ©Îï¡£¡£¡£¡£¡£¡£¡£¡£

32£¬£¬£¬£¬£¬Lonafarnib (Synonyms: Sch66336)
Lonafarnib ÊÇÒ»ÖÖ¿Ú·þÓÐÓõķ¨Äá»ùÂѰ××ªÒÆÃ¸ (FPTase) ÒÖÖÆ¼Á£¬£¬£¬£¬£¬×÷ÓÃÓÚ H-ras£¬£¬£¬£¬£¬K-ras ºÍ N-ras£¬£¬£¬£¬£¬IC50 »®·ÖΪ 1.9 nM£¬£¬£¬£¬£¬5.2 nM ºÍ 2.8 nM¡£¡£¡£¡£¡£¡£¡£¡£Lonafarnib ¾ßÓп¹¸ÎÑ×Èý½ÇÖÞ²¡¶¾ (HDV) µÄ»îÐÔ¡£¡£¡£¡£¡£¡£¡£¡£

33£¬£¬£¬£¬£¬ Imcivree(Setmelanotide)
setmelanotideÊÇÒ»¿îÊ×´´¡¢¹ÑëÄÀàMC4R¼¤¶¯¼Á£¬£¬£¬£¬£¬¿ª·¢ÓÃÓÚÖÎÁÆÓÐÊý·ÊÅÖÒÅ´«ÐÔ¼²²¡¡£¡£¡£¡£¡£¡£¡£¡£

34£¬£¬£¬£¬£¬Gallium 68 PSMA-11

35£¬£¬£¬£¬£¬Orladeyo£¨Berotralstat£©±´ÂÞ˾Ëû
rladeyo£¨Berotralstat£©±´ÂÞ˾Ëû ÊÇÒ»ÖÖÐÂÐÍ¡¢¿Ú·þ¡¢ÖðÈÕ1´Î¡¢Ç¿Ð§¡¢Ñ¡ÔñÐÔÈËѪ½¬¼¤ëÄÊÍ·ÅøÒÖÖÆ¼Á£¬£¬£¬£¬£¬Í¨¹ýÒÖÖÆ¼¤ëÄÊÍ·ÅøÀ´×èÖ¹»º¼¤ëĵÄÌìÉú´Ó¶øÔ¤·ÀË®Ö×±¬·¢¡£¡£¡£¡£¡£¡£¡£¡£Orladeyo £¨berotralstat£©ÓÃÓÚÔ¤·À12Ëê¼°ÒÔÉ϶ùͯºÍ³ÉÈËÒÅ´«ÐÔѪ¹ÜÐÔË®Ö×£¨HAE£©±¬·¢£¬£¬£¬£¬£¬OrladeyoÊÇÊ׸öÔ¤·ÀHAE±¬·¢µÄ¿Ú·þ·ÇçÞÌåÒ©Îï¡£¡£¡£¡£¡£¡£¡£¡£

36£¬£¬£¬£¬£¬Tirbanibulin (Synonyms: KX2-391; KX-01)

37£¬£¬£¬£¬£¬Relugolix Èð¬¸êÀû
Relugolix£¬£¬£¬£¬£¬Ò²³ÆÎªTAK-385£¬£¬£¬£¬£¬ÊÇÒ»ÖÖ¿Ú·þ»îÐԵĻÆÌå¼¤ËØÊͷż¤ËØ£¨LH-RH£©ÊÜÌåÞ׿¹¼Á£¬£¬£¬£¬£¬IC50Ϊ0.12 nM¡£¡£¡£¡£¡£¡£¡£¡£

38, Gemtesa£¨vibegron£©
vibegron¿ÉÖÎÁưòë×Ì«¹ýÔ˶¯Ö¢µ¼ÖÂµÄÆÈÇÐÐÔÄòʧ½û£¬£¬£¬£¬£¬Äò¼±ºÍÄòƵµÈÖ¢×´¡£¡£¡£¡£¡£¡£¡£¡£

±¾ÎIJ¿·ÖÄÚÈÝÔ´×ÔÍøÂç
---------------------------------------------------------------------
Óɴ˿ɼû£¬£¬£¬£¬£¬Ð¡·Ö×ÓÒ©ÎïÑз¢ÒѳÉΪÁ˵±ÏÂÈ«ÇòÒ©ÎïÑз¢µÄÖ÷Á÷Ö®Ò»£¬£¬£¬£¬£¬¶ø7790±Ø·¢¼¯ÍÅÒ½Ò©ÔÚС·Ö×ÓÒ©ÎïÑз¢ÁìÓòÒàÊÇ·¢Á¦ÔÚ¼´¡£¡£¡£¡£¡£¡£¡£¡£ÔÚÉî¸Û¿Æ¼¼ºÏ×÷ÏÈÐÐÊ÷Ä£ÇøÒªµØÉîÛÚ¸£Ì£¬£¬£¬£¬7790±Ø·¢¼¯ÍÅÒ½Ò©½¨ÉèÈ«×Ê×Ó¹«Ë¾²©ÈðÒ½Ò©¿Æ¼¼ÓÐÏÞ¹«Ë¾£¬£¬£¬£¬£¬È«Á¦¸³ÄÜ´óÍåÇøÓµÓиüÍêÉÆµÄС·Ö×ÓÒ»Ì廯ÐÂÒ©Ñз¢·þÎñƽ̨ºÍÄÜÁ¦¡£¡£¡£¡£¡£¡£¡£¡£

ÔÁ¹«Íø°²±¸ 44011202001884ºÅ

ÔÁ¹«Íø°²±¸ 44011202001884ºÅ