ÉÏÖÜ£¬£¬£¬£¬£¬£¬£¬£¬¡°Ô¬À´ÔÆÔÆ¡±×¨À¸¾Í´ó·Ö×ÓÉúÎïÆÊÎöÒªÁìµÄУ׼ÇúÏßµÄÉè¼Æ¡¢ÌìÉúºÍ±à¼µÄ˼Ë÷ºÍ½¨ÒéÕö¿ªÁËÏêϸÏÈÈÝ£¨Ô¬À´ÔÆÔÆ£ü´ó·Ö×ÓÉúÎïÆÊÎö¸ÅÂÛ£¨ËÄ_ÉÏ£©£ºÐ£×¼ÇúÏßµÄÉè¼Æ£¬£¬£¬£¬£¬£¬£¬£¬ÌìÉúºÍ±à¼£©£¬£¬£¬£¬£¬£¬£¬£¬±¾ÆÚ½«ÑÓÐøÉÏÆÚÄÚÈÝ£¬£¬£¬£¬£¬£¬£¬£¬ÖصãÏÈÈÝ´ó·Ö×ÓÉúÎïÆÊÎöÒªÁìУ׼ÇúÏßÄâºÏÄ£×ÓºÍÈ¨ÖØ¾ÙÐÐÈ¡ÉáµÄÒªÁì¡£¡£¡£¡£¡£¡£¡£
±¾ÏµÁÐÎÄÕÂÏÈÈݵÄÉúÎïÆÊÎöÊÇÖ¸¶¨Á¿µØ²â¶¨ÔÚ¶¯ÎïºÍÈËÌåÌåÒº»ò×éÖ¯ÖеÄÉúÎïÒ©£¨±¾ÎÄÌØÖ¸ÂѰ×ÖÊÀàÉúÎïÒ©£¬£¬£¬£¬£¬£¬£¬£¬°üÀ¨µ¥¿¹£¬£¬£¬£¬£¬£¬£¬£¬Ï¸°ûÒò×Ó£¬£¬£¬£¬£¬£¬£¬£¬Éú³¤ËØ£¬£¬£¬£¬£¬£¬£¬£¬ÈÚºÏÂѰ׵ȣ©µÄŨ¶È¡£¡£¡£¡£¡£¡£¡£´ó´ó¶¼ÉúÎïÆÊÎöÒªÁì¶¼»ùÓÚÃâÒß²âÊÔÒªÁ죨Immunoassays£©£¬£¬£¬£¬£¬£¬£¬£¬»òÕ߸ü¹ãÒ嵨³ÆÎª£¬£¬£¬£¬£¬£¬£¬£¬ÅäÌåÍŽáʽ²âÊÔÒªÁ죨ligand binding assays, LBA£©¡£¡£¡£¡£¡£¡£¡£ÕâЩҪÁìÉæ¼°Ò»ÏµÁÐÊÔ¼ÁµÄʹÓ㬣¬£¬£¬£¬£¬£¬£¬È翹ҩÎÌ壬£¬£¬£¬£¬£¬£¬£¬ÆäËü¿¹Ì壬£¬£¬£¬£¬£¬£¬£¬ÉúÎïÒ©µÄ°Ð±êÂѰ׵ȡ£¡£¡£¡£¡£¡£¡£
ÅäÌåÍŽáʽ²âÊÔÒªÁ죨LBA£¬£¬£¬£¬£¬£¬£¬£¬Ò²³ÆÎªimmunoassays£©ÊÇÒ»ÖÖ³£Óõ͍Á¿ÆÊÎö¹¤¾ß¡£¡£¡£¡£¡£¡£¡£ÔÚLBAÒªÁìÖУ¬£¬£¬£¬£¬£¬£¬£¬´ý²âÎïŨ¶ÈÓëÏìÓ¦Êý¾ÝÖ®¼äµÄ¹ØÏµÊÇÖÊÁ¿×÷Óö¨ÂÉÇý¶¯µÄ·ÇÏßÐÔ¹ØÏµ£¬£¬£¬£¬£¬£¬£¬£¬Á½¸ö±»ÆÕ±é½ÓÊܺ;ÓÉÑéÖ¤µÄLBAУ׼ÇúÏߵĻعéÄ£×ÓÊÇ4²ÎÊýlogistic£¨4PL£©ºÍ5²ÎÊýlogistic£¨5PL£©ÇúÏßÄâºÏÄ£×Ó¡£¡£¡£¡£¡£¡£¡£Ñ¡ÔñÊʵ±µÄ»Ø¹éÄ£×ÓºÍÈ¨ÖØº¯ÊýÊÇLBAÒªÁ쿪·¢µÄÒªº¦×é³É²¿·Ö¡£¡£¡£¡£¡£¡£¡£
ÔÚÆÊÎöÒªÁ쿪·¢Ê±´ú£¬£¬£¬£¬£¬£¬£¬£¬Ó¦¶ÔÑ¡¶¨µÄÄ£×ÓºÍÈ¨ÖØº¯Êý¾ÙÐÐÆÀ¹À£¬£¬£¬£¬£¬£¬£¬£¬²¢ÔÚÑé֤ʱ´ú¼ÓÒÔÈ·ÈÏ¡£¡£¡£¡£¡£¡£¡£¹ØÓÚÈ·¶¨»òÑ¡ÔñÊʵ±µÄ»Ø¹éÄ£×ÓºÍÈ¨ÖØº¯ÊýµÄÏÖʵ²Ù×÷ÒªÁ죬£¬£¬£¬£¬£¬£¬£¬ÔÚÒѽÒÏþµÄÎÄÏ×ÖÐÆÄΪÓÐÏÞ£¬£¬£¬£¬£¬£¬£¬£¬±¾ÎĽ«Ìá³öÒ»¸ö½á¹¹»¯µÄ¡¢ÓÐÐòµÄ¼Æ»®À´È·¶¨Á½Õß¡£¡£¡£¡£¡£¡£¡£
ÔÚLBAÖÐÊӲ쵽µÄʵÑéÏìÓ¦ÊÇÒ»¸öÅäÌ壨´ý²âÎºÍ¼ì²âϵͳÖÐʹÓõÄÌØ¶¨²¶»ñ/¼ì²âÊÔ¼ÁµÄƽºâÍŽáµÄЧ¹û¡£¡£¡£¡£¡£¡£¡£ÊµÑéÏìÓ¦Óë¶ÔÊý±ä»»ºóŨ¶ÈÖ®¼äµÄÕâÖÖ¹ØÏµÊÇ·ÇÏßÐԵ쬣¬£¬£¬£¬£¬£¬£¬Ê¹µÃµä·¶µÄLBAУ׼ÇúÏßΪËùÓлò²¿·ÖµÄSÐÍ£¨sigmoidal£©¡£¡£¡£¡£¡£¡£¡£³£¼ûµÄ·ÇÏßÐԻعéÄ£×ÓΪ4PLºÍ5PL£¬£¬£¬£¬£¬£¬£¬£¬ÄâºÏÄ£×ÓµÄÑ¡Ôñ¿ÉÄÜÓÉÇúÏßµÄÐÎ×´ËùÇý¶¯¡£¡£¡£¡£¡£¡£¡£ÍêÈ«µÄ sigmoidalÇúÏߣ¨ÆäÖж¥²¿ºÍµ×²¿Æ½Ì¨ÇøÊǾµÏñ£©Í¨³£Ê¹ÓÃ4PL Ä£×Ó¡£¡£¡£¡£¡£¡£¡£²¿·ÖsigmoidalÇúÏߣ¬£¬£¬£¬£¬£¬£¬£¬¼´·Ç¶Ô³ÆÇúÏߣ¬£¬£¬£¬£¬£¬£¬£¬Í¨³£Ê¹ÓÃ5PLÄ£×Ó£¨4PL¡¢5PLÄ£×ÓÏêϸ½â¶ÁÇë´Á¡¶Ô¬À´ÔÆÔÆ£ü´ó·Ö×ÓÉúÎïÆÊÎö¸ÅÂÛ£¨ËÄ_ÉÏ£©£ºÐ£×¼ÇúÏßµÄÉè¼Æ£¬£¬£¬£¬£¬£¬£¬£¬ÌìÉúºÍ±à¼¡·£©¡£¡£¡£¡£¡£¡£¡£
ÓÉÓÚLBAÖÐÅäÌ寽ºâÍŽᣨequilibrium binding£©µÄÌØÕ÷£¬£¬£¬£¬£¬£¬£¬£¬¾³£»£»£»£»£»£»£»£»áÊӲ쵽²âÊÔÏìÓ¦µÄ·Çºã¶¨µÄ·½²î£¨non-constant variance of response£©£¬£¬£¬£¬£¬£¬£¬£¬ÕâÖÖ²»µÈͬ·½²î³ÆÎªÒì·½²îÐÔ£¨heteroscedasticity£©¡£¡£¡£¡£¡£¡£¡£ÈôÊÇÔÚÇúÏßÄâÊÊʱ²»Ë¼Á¿Ó¦¶ÔÒì·½²îÐÔ£¬£¬£¬£¬£¬£¬£¬£¬Ôò¿ÉÄܵ¼ÖÂ×îÖÕЧ¹ûÖзºÆð»ØËã¹ýʧºÍ¸ü´óµÄÎó²î¡£¡£¡£¡£¡£¡£¡£ÎªÁËïÔÌÒì·½²îÐÔµÄÓ°Ïì²¢Ìá¸ßÇúÏßÄâºÏµÄÖÊÁ¿£¬£¬£¬£¬£¬£¬£¬£¬±ØÐèÖ»¹ÜïÔ̾ßÓнϸ߷½²î£¨higher variance£©µÄУ׼µã¶ÔÇúÏßÄâºÏµÄТ˳£¬£¬£¬£¬£¬£¬£¬£¬¹ãÒå×îСƽ·½ £¨generalized least squares£©ºÍ·½²îÎȹ̱任£¨variance stabilizing transformation£©¿ÉÒÔÓÃÀ´½â¾öÕâ¸öÎÊÌâ¡£¡£¡£¡£¡£¡£¡£ÕâЩҪÁìҪôÔÚÿ¸öÄâºÏµü´úºó¸üÐÂÈ¨ÖØº¯Êý£»£»£»£»£»£»£»£»ÒªÃ´×ª»»Êý¾ÝºÍÄ£×Ó£¬£¬£¬£¬£¬£¬£¬£¬ÒÔʹÓÃͨË××îСƽ·½Ä£×Ó£¬£¬£¬£¬£¬£¬£¬£¬¶ø²»Ê¹ÓÃÈ¨ÖØº¯Êý¡£¡£¡£¡£¡£¡£¡£ÔÚÒѽÒÏþµÄÒªÁìÖУ¬£¬£¬£¬£¬£¬£¬£¬ÏßÐԻعéбÂÊÒªÁ죨linear regression slope approach£©¿ÉÄÜÊÇ×îÊÊÓõġ£¡£¡£¡£¡£¡£¡£±¾ÎÄÏÂÃæÌÖÂÛÕâ¸öÒªÁì¡£¡£¡£¡£¡£¡£¡£
´ó´ó¶¼Óë LBA²âÊÔÏà¹ØµÄÈí¼þΪÖÖÖÖÄâºÏÄ£×Ӻͳ£ÓõÄÈ¨ÖØº¯Êý£¨Èç 1/Y »ò 1/Y2£©ÌṩÁËÄÚÖõÄÑ¡Ôñ¡£¡£¡£¡£¡£¡£¡£Ïà¹Øî¿ÏµÖ¸ÄϽ¨ÒéʹÓÃ×î¼òÆÓ£¬£¬£¬£¬£¬£¬£¬£¬²¢³ä·ÖÐÎòÁË´ý²âÎïŨ¶ÈÓëÆäÏìÓ¦Ö®¼ä¹ØÏµµÄÄ£×Ó¡£¡£¡£¡£¡£¡£¡£ÔÚÑ¡Ôñ»Ø¹éÄ£×Ó£¨¼Ó»ò²»¼ÓÈ¨ÖØ£©Ê±£¬£¬£¬£¬£¬£¬£¬£¬ÈôÊǶÔÇúÏßÐÎ×´µÄÄ¿ÊÓÆÀ¹ÀºÍ¶ÔʹÓõÄͳ¼ÆÒªÁì¾ÙÐнÏÁ¿£¬£¬£¬£¬£¬£¬£¬£¬Èç½ÏÁ¿F²âÊÔºÍchi-square p value£¬£¬£¬£¬£¬£¬£¬£¬²¢½ûÖ¹Ò×£¬£¬£¬£¬£¬£¬£¬£¬ÆäЧ¹û¿ÉÄÜ»áÁîÈËÒÉÐÄ¡£¡£¡£¡£¡£¡£¡£ÕâÀï³£¼ûµÄÌôÕ½ÊÇÔõÑùÒÀ¾ÝÏà¹ØÖªÊ¶£¬£¬£¬£¬£¬£¬£¬£¬ºÏÀíµØÑ¡ÔñÆäÖÐÖ®Ò»¡£¡£¡£¡£¡£¡£¡£
±¾ÎĽ«ÏÈÈÝÒ»×é°¸ÀýÑо¿£¬£¬£¬£¬£¬£¬£¬£¬ÆäÖнÓÄÉÒ©´ú¶¯Á¦Ñ§¶¨Á¿ÆÊÎöÒªÁ죬£¬£¬£¬£¬£¬£¬£¬ÓÃÓÚѪÇå»òѪ½¬ÖÐÂѰ×ÉúÎïÒ©µÄ¶¨Á¿£¬£¬£¬£¬£¬£¬£¬£¬ÒÔ¼°Ê¹ÓÃͨÓõÄͳ¼ÆÈí¼þÀ´È·¶¨Êʵ±µÄÄâºÏÄ£×ÓºÍÈ¨ÖØÒò×Ó¡£¡£¡£¡£¡£¡£¡£
LBAÒªÁìÊÇÆÀ¹ÀÉúÎïÒ©µÄPK/TKʱµÄÖ÷Òª¶¨Á¿ÆÊÎöÒªÁ죬£¬£¬£¬£¬£¬£¬£¬¸ÃÒªÁìµÄÌØÒìÐÔºÍÑ¡ÔñÐÔÈ¡¾öÓÚÄ¿µÄ´ý²âÎïÓëÆäËûÉúÎï·Ö×Ó£¨ÈçÊÜÌå¡¢ºÍÕë¶ÔºòÑ¡ÉúÎïÒ©µÄ¿¹Ì壩µÄÏ໥×÷Óᣡ£¡£¡£¡£¡£¡£LBAÒªÁìÖÐÊӲ쵽µÄÐźÅ/ÏìÓ¦ÓëÉúÎïÒ©µÄŨ¶È¼ä½ÓÏà¹Ø¡£¡£¡£¡£¡£¡£¡£
ÏÂÃæµÄʾÀýA¡¢BºÍC¶¼Ê¹ÓÃÁËLBAÒªÁ죬£¬£¬£¬£¬£¬£¬£¬Èçµç»¯Ñ§·¢¹â£¨ECL£©¼ì²âƽ̨»ò±ÈÉ«·¨ELISA¼ì²âƽ̨£¬£¬£¬£¬£¬£¬£¬£¬ÓÃÓÚ¶¨Á¿ÆÊÎöѪ½¬»òѪÇ壨ÈË»òʳзºï£©ÖеÄÂѰ×ÉúÎïҩŨ¶È¡£¡£¡£¡£¡£¡£¡£Ã¿¸ö°¸ÀýÑо¿ÖÐµÄÆÊÎöÒªÁì¼òÊöÈçÏ£º
°¸ÀýA£º¶ÔMeso Scale Discovery£¨MSD£©Multi-Array?΢¿×°å£¬£¬£¬£¬£¬£¬£¬£¬Ê¹Óõ¥¿Ë¡¿¹Ò©ÎÌ壨5 ?g/mL£©°ü°å£¬£¬£¬£¬£¬£¬£¬£¬×¡ËÞ£»£»£»£»£»£»£»£»Ö®ºó£¬£¬£¬£¬£¬£¬£¬£¬Ó뺬ÓÐÒ©ÎïµÄÑùÆ·ÔÚÊÒÎÂÏ·õÓý60·ÖÖÓ£»£»£»£»£»£»£»£»Ï´°åºó£¬£¬£¬£¬£¬£¬£¬£¬ÍŽᵽ°åÉϵÄÒ©ÎïÓëbiotinylatedµ¥¿Ë¡¼ì²â¿¹Ì壨2.5??g/mL£©·õÓý60·ÖÖÓ£»£»£»£»£»£»£»£»È»ºó¼ÓÈë0.1??g/mL µÄStreptavidin-ruthenium£¬£¬£¬£¬£¬£¬£¬£¬ÔÙ·õÓý60·ÖÖÓ£»£»£»£»£»£»£»£»Ö®ºó£¬£¬£¬£¬£¬£¬£¬£¬MSDÒÇÆ÷ÔÚÌØ¶¨Ìõ¼þϼì²âµ½À´×Ôruthenium µÄµç»¯Ñ§·¢¹âÐźš£¡£¡£¡£¡£¡£¡£
°¸ÀýB£º¶Ôstreptavidin °ü±»µÄMSD Multi-Array?΢¿×°å£¬£¬£¬£¬£¬£¬£¬£¬ÔÚÊÒÎÂÏ£¬£¬£¬£¬£¬£¬£¬£¬ÒÔbiotinylatedµ¥¿Ë¡¿¹Ì壨4mg/mL£©°ü°å60ÖÁ120·ÖÖÓ£»£»£»£»£»£»£»£»Ëæºó£¬£¬£¬£¬£¬£¬£¬£¬º¬ÓÐÒ©ÎïµÄÑùÆ·ÔÚÉÏÊö΢¿×°åÉÏ·õÓý90·ÖÖÓ£»£»£»£»£»£»£»£»Ê¹ÓÃСÊó¿¹ÈËIgG Fc-Ruthenium£¨0.36mg/mL£©·õÓý60·ÖÖÓ£¬£¬£¬£¬£¬£¬£¬£¬ÒÔÍŽᱻ¿¹Ìå²¶»ñµÄÉúÎïÒ©£»£»£»£»£»£»£»£»Ö®ºó£¬£¬£¬£¬£¬£¬£¬£¬MSDÒÇÆ÷ÔÚÌØ¶¨Ìõ¼þϼì²âµ½À´×Ôruthenium µÄµç»¯Ñ§·¢¹âÐźš£¡£¡£¡£¡£¡£¡£
°¸ÀýC£ºÔÚCostar΢¿×°åÉÏ£¬£¬£¬£¬£¬£¬£¬£¬ÔÚ4¡ãC°ü±»Ò©Îï°Ðµã£¨4 mg/mL£©£¬£¬£¬£¬£¬£¬£¬£¬×¡ËÞ£»£»£»£»£»£»£»£»Óë°ÐµãÍŽáºóµÄÉúÎïÒ©£¬£¬£¬£¬£¬£¬£¬£¬ÔÙÓë50 ng/mLµÄbiotinylatedµ¥¿Ë¡¿¹Ìå·õÓý60·ÖÖÓ£»£»£»£»£»£»£»£»Ö®ºó£¬£¬£¬£¬£¬£¬£¬£¬ÔÙÓë1:50,000Ï¡ÊͺóµÄavidin D-HRP ·õÓý60·ÖÖÓ£»£»£»£»£»£»£»£»Ëæºó£¬£¬£¬£¬£¬£¬£¬£¬¼ÓÈëHRPøµ×Î£¬£¬£¬£¬£¬£¬£¬TMB£¬£¬£¬£¬£¬£¬£¬£¬ÒÔ±¬·¢É«¶È·´Ó¦£»£»£»£»£»£»£»£»È»ºóÓÃÁòËá×èÖ¹¸Ã·´Ó¦£¬£¬£¬£¬£¬£¬£¬£¬²¢ÔÚø±êÒÇSpectramaxÉÏ£¬£¬£¬£¬£¬£¬£¬£¬ÕÉÁ¿450nmµÄ¹âѧÃܶȣ¨OD£©¡£¡£¡£¡£¡£¡£¡£
Òì·½²îÐÔ£¨Heteroscedasticity£©
ÔÚÊÕÂÞµ½µÄʵÑéÔËÐеıê׼У׼Êý¾ÝÜöÝÍ£¨standard calibration data£©ÖУ¬£¬£¬£¬£¬£¬£¬£¬¿ÉÒÔͨ¹ýÊÓ²ì²âÊÔÐźŵıê×¼Îó²î£¨SD£©ºÍУ׼µãŨ¶ÈÖ®¼äµÄ¹ØÏµÀ´ÆÀ¹ÀÒì·½²îÐÔ¡£¡£¡£¡£¡£¡£¡£Îª´Ë£¬£¬£¬£¬£¬£¬£¬£¬»®·ÖÆÀ¹ÀÁ˰¸ÀýA¡¢BºÍCÔÚÒªÁ쿪·¢Àú³ÌÖлñµÃµÄ6¡¢7ºÍ10¸ö×ÔÁ¦ÔËÐС£¡£¡£¡£¡£¡£¡£
Ê×ÏÈ£¬£¬£¬£¬£¬£¬£¬£¬Ê¹ÓÃMicrosoft Excel 2010ÅÌËã±ê×¼·½²î£¬£¬£¬£¬£¬£¬£¬£¬Æä´ÎʹÓà GraphPad Prizm 7 À´»æÖÆÃ¿¸öУ׼Ʒ²âÊÔÐźŵÄSDÓëУ׼µãŨ¶ÈµÄ¹ØÏµÍ¼¡£¡£¡£¡£¡£¡£¡£ÔÚÄ¿ÊÓ¿¼²ìÁËSDת±äµÄÇ÷ÊÆºó£¬£¬£¬£¬£¬£¬£¬£¬¾Í¿ÉÒÔÈ·¶¨¶ÔÈ¨ÖØº¯ÊýµÄÐèÇ󡣡£¡£¡£¡£¡£¡£ÈôÊÇSD±¬·¢Òƶ¯£¬£¬£¬£¬£¬£¬£¬£¬ÔòÅú×¢ÎúÒì·½²îÐÔ£¬£¬£¬£¬£¬£¬£¬£¬Òò´Ë£¬£¬£¬£¬£¬£¬£¬£¬ÐèҪʹÓÃÈ¨ÖØº¯Êý¡£¡£¡£¡£¡£¡£¡£ÈôÊÇSDÔÚУ׼ƷŨ¶È¹æÄ£ÄÚÊǺ㶨µÄ£¬£¬£¬£¬£¬£¬£¬£¬ÔòÎÞÐè¼ÓȨ¡£¡£¡£¡£¡£¡£¡£
µ±ÔÚУ׼ÇúÏßÖÐÊӲ쵽²âÊÔÐźŵıê×¼Îó²îËæÅ¨¶È±¬·¢×ª±äʱ£¬£¬£¬£¬£¬£¬£¬£¬¾ÍÐèÒª¶Ô¸ü׼ȷµÄÊý¾Ýµã£¨¾ßÓнϵÍSDµÄÊý¾Ý£©Ê¹ÓÃÈ¨ÖØº¯ÊýÀ´µ÷½âÇúÏßµÄÄâºÏ¡£¡£¡£¡£¡£¡£¡£ÔÚ GraphPad Prizm 7 ÖУ¬£¬£¬£¬£¬£¬£¬£¬¿ÉÒÔʹÓÃͼÐÎÏßÐԻعéÒªÁ죨graphical linear regression approach£©ÅÌËãÈ¨ÖØº¯ÊýÒò×ÓÈçÏ£º
°ì·¨1. »æÖÆÏÂÊö¶þÕߵĹØÏµÍ¼£º¶ÔÊýת»»ºóµÄ²âÊÔÐÅºÅÆ½¾ùÖµÓë¶ÔÊýת»»ºóµÄSD£¬£¬£¬£¬£¬£¬£¬£¬¶Ô¶þÕßʹÓÃÏàͬµÄ¶ÔÊýµ×Êý£¨10»ò2£©¡£¡£¡£¡£¡£¡£¡£
°ì·¨2. ÔÚ°ì·¨1ÖлñµÃµÄÏßÐԻعéÖ±ÏßµÄбÂÊÖµ£¨k£©³ËÒÔ2£¬£¬£¬£¬£¬£¬£¬£¬ÒÔÈ·¶¨È¨Öغ¯ÊýÒò×Ó£¨weighting function factor£©£¬£¬£¬£¬£¬£¬£¬£¬¼´2k¡£¡£¡£¡£¡£¡£¡£
ΪÁËÆ½ºâËùÓÐУ׼µãµÄТ˳£¬£¬£¬£¬£¬£¬£¬£¬ÔÚ4PL»ò5PLÇúÏßÄâºÏÖÐÓ¦ÓÃÈ¨ÖØº¯Êý 1/Y2k£¨ÆäÖÐYÊDzâÊÔÐźţ¬£¬£¬£¬£¬£¬£¬£¬2kÊÇÈ¨ÖØÒò×Ó£©£¬£¬£¬£¬£¬£¬£¬£¬ÒÔÖ»¹ÜïÔÌweighted sum-of-squares£¬£¬£¬£¬£¬£¬£¬£¬´Ó¶ø»ñµÃ¸üºÃµÄ׼ȷ¶ÈºÍϸÃܶȡ£¡£¡£¡£¡£¡£¡£
½«È¨Öغ¯Êý 1/Y2k Ó¦ÓÃÓÚÇúÏßÄâºÏÄ£×Ó £¨4PL »ò 5PL£©ºó£¬£¬£¬£¬£¬£¬£¬£¬ÔÙʹÓÃWatson LIMS£¬£¬£¬£¬£¬£¬£¬£¬½«»ØËãµÄУ׼µãŨ¶È²åÈë¼ÓȨÄâºÏµÄÇúÏߣ¨¼Ù¶¨ÕâЩУ׼µãÊÇδ֪Ũ¶ÈµÄÑù±¾£©¡£¡£¡£¡£¡£¡£¡£
ÈôÊǶÔËùÓвâÊÔÔËÐкͶÔÿ¸ö±ê׼У׼µã£¨Ãª¶¨µã³ýÍ⣩£¬£¬£¬£¬£¬£¬£¬£¬ÀÛ»ý%REÔÚ¡À15% Ö®ÄÚ²¢ÇÒÀÛ»ý%CV¡Ü15%£¬£¬£¬£¬£¬£¬£¬£¬Ôò»Ø¹éÄ£×ÓÊÇ¿ÉÒÔ½ÓÊܵ컣»£»£»£»£»£»£»µ«¹ØÓÚ¶¨Á¿ÏÂÏÞ£¨LLOQ£©ºÍÉÏÏÞ£¨ULOQ£©£¬£¬£¬£¬£¬£¬£¬£¬½ÓÊܱê×¼Ò»Ñùƽ³£ %RE¡À20ºÍÀÛ»ý %CV¡Ü20¡£¡£¡£¡£¡£¡£¡£Ô¤¼ÆµÄ¶¨Á¿¹æÄ££¨ROQ£©ÊÇÔÚÇкÏÉÏÊö½ÓÊܱê×¼µÄ×îµÍºÍ×î¸ß±ê׼Ũ¶ÈÖ®¼äÈ·¶¨µÄ¡£¡£¡£¡£¡£¡£¡£ÔÚ MS Excel 2010 ÖУ¬£¬£¬£¬£¬£¬£¬£¬ÀÛ¼Æ%REºÍÀÛ»ý%CV »®·ÖÅÌËãΪ£º[100 - 100 x£¨»ØËãŨ¶ÈµÄƽ¾ùÖµ/±ê³ÆÅ¨¶È£©]ºÍ 100 X£¨»ØËãŨ¶ÈµÄ±ê×¼·½²î/»ØËãŨ¶ÈµÄƽ¾ùÖµ£©¡£¡£¡£¡£¡£¡£¡£
Ö®ºó£¬£¬£¬£¬£¬£¬£¬£¬Ê¹Óà GraphPad Prizm 7 »æÖÆ 4PL ºÍ 5PL Ö®¼ä׼ȷ¶È£¨ÀÛ»ýcumulative %RE£©ºÍϸÃܶȣ¨ÀÛ»ýcumulative %CV£©µÄ½ÏÁ¿Í¼¡£¡£¡£¡£¡£¡£¡£»£»£»£»£»£»£»£»Ø¹éÄ£×ÓµÄÏàÒËÐÔ¿ÉʹÓô˿ÉÊÓ»¯Í¼Ðι¤¾ßÀ´ÅжϣºÔڿɽÓÊܵĹæÄ£ÄÚ°üÀ¨Á˸ü¶à±ê׼У׼µã£¬£¬£¬£¬£¬£¬£¬£¬²¢ÇÒÀÛ»ý %RE ºÍÀÛ»ý %CV ½ÏµÍÄ£×Ó£¬£¬£¬£¬£¬£¬£¬£¬¾ÍÊÇÓ¦¸ÃÑ¡ÔñµÄÄ£×Ó¡£¡£¡£¡£¡£¡£¡£ÈôÊÇÁ½ÖÖÄ£×ÓµÄЧÄܺÜÊÇÏàËÆ£¬£¬£¬£¬£¬£¬£¬£¬Ôò¿Éͨ¹ýÊÇ·ñ¾ßÓмÓȨ4PLÀ´×öÑ¡Ôñ £¬£¬£¬£¬£¬£¬£¬£¬ÓÉÓÚÒ»Ñùƽ³£×ñÕÕ Occam¡¯s razor ÔÔò£¬£¬£¬£¬£¬£¬£¬£¬ ¼´ÒÔ×îÉٵļÙÉ裬£¬£¬£¬£¬£¬£¬£¬·¢Ã÷Êý¾ÝºÍÄ£×ÓÖ®¼äµÄ¹ØÏµ¡£¡£¡£¡£¡£¡£¡£
ͼ1. Ñ¡ÔñÇúÏßÄâºÏÄ£×ÓÒÔÌá¸ßÇúÏßÐÔÄܵÄÒªÁì¡£¡£¡£¡£¡£¡£¡£ÏÖʵÊÂÇéÁ÷³ÌÐÎòÁËÑ¡ÔñÈ¨ÖØº¯ÊýºÍÇúÏßÄâºÏÄ£×ÓµÄÿ¸ö°ì·¨ºÍÕû¸öÀú³Ì¡£¡£¡£¡£¡£¡£¡£

±¾ÎÄÌá³öÁËÒ»Öֽṹ»¯µÄÒªÁ죬£¬£¬£¬£¬£¬£¬£¬Í¨¹ýÑ¡Ôñ׼ȷµÄÇúÏßÄâºÏÄ£×ÓºÍÈ¨ÖØº¯Êý£¬£¬£¬£¬£¬£¬£¬£¬ÒÔÀ©Õ¹ LBAÆÊÎöÒªÁìµÄ¶¨Á¿¹æÄ££¨Í¼1£©¡£¡£¡£¡£¡£¡£¡£¸ÃÒªÁìÍêÈ«´ÓÊýѧµÄ½Ç¶È³ö·¢£¬£¬£¬£¬£¬£¬£¬£¬È·¶¨Ò»ÌõУ׼ÇúÏßÊÇ·ñÐèÒª¼ÓÈ¨ÖØÒÔ¼°ÄÄÖÖ¼ÓȨ·½·¨×îºÏÀí¡£¡£¡£¡£¡£¡£¡£ÈôÊÇÍøÂçµ½µÄÊý¾ÝÖзºÆð³öµÄÒìÖÊÐÔ£¬£¬£¬£¬£¬£¬£¬£¬ÔòÔÚ׼ȷ¶ÈºÍϸÃܶÈÐÐΪ·½Ã棬£¬£¬£¬£¬£¬£¬£¬¶Ô4PLºÍ5PLÁ½¸öÄ£×Ó£¨ÒÔ¼°È·¶¨µÄÈ¨ÖØº¯Êý£©¾ÙÐнÏÁ¿£»£»£»£»£»£»£»£»ÈôÊÇδÊӲ쵽Òì·½²îÐÔ£¬£¬£¬£¬£¬£¬£¬£¬Ôò¶Ô²»º¬È¨ÖØÁ¿4PLºÍ5PLÄ£×Ó¾ÙÐнÏÁ¿¡£¡£¡£¡£¡£¡£¡£ÒÔϽ«´ËÔÔòÓ¦ÓÃÓÚ3¸öµä·¶ LBAÆÊÎö°¸Àý¡£¡£¡£¡£¡£¡£¡£ÔÚÕâ3¸öÉúÎïÒ©µÄÒ©´ú¶¯Á¦Ñ§£¨PK£©Ñо¿°¸ÀýÖУ¬£¬£¬£¬£¬£¬£¬£¬×ܹ²¿ª·¢ÁË3¸öÆÊÎöÒªÁ죬£¬£¬£¬£¬£¬£¬£¬²¢ÊӲ쵽3ÖÖ²î±ðÐÎ×´µÄУ׼ÇúÏß¡£¡£¡£¡£¡£¡£¡£ÆäÖУ¬£¬£¬£¬£¬£¬£¬£¬Á½¸öÆÊÎöÒªÁ죨°¸ÀýAºÍB£©Ê¹ÓÃÁ˵绯ѧ·¢¹â£¨ECL£©Æ½Ì¨£¬£¬£¬£¬£¬£¬£¬£¬¶øÁíÒ»¸öÆÊÎöÒªÁ죨°¸ÀýC£©Ê¹ÓÃÁ˱ÈÉ«ELISAƽ̨¡£¡£¡£¡£¡£¡£¡£
ΪÁËÔÚÒªÁ쿪·¢Àú³ÌÖжÔŨ¶È-²âÊÔÐźŵĹØÏµ¾ÙÐÐÏêϸÑо¿£¬£¬£¬£¬£¬£¬£¬£¬±í1ÖÐÐÎòÁ˶¨Á¿ÆÊÎöÉúÎïÒ©A¡¢BºÍCŨ¶ÈµÄ3ÌõУ׼ÇúÏß¡£¡£¡£¡£¡£¡£¡£ÔÚÔ¤ÆÚµÄ¶¨Á¿¹æÄ£ÄÚ£¨¶ÔÊý±ê×¼ÉÏ£©£¬£¬£¬£¬£¬£¬£¬£¬Ð£×¼µã´óÖÂÔȳÆÂþÑÜ¡£¡£¡£¡£¡£¡£¡£
±í1. 3ÌõPKУ׼ÇúÏßµÄÌØÕ÷×ܽá

ÓÃÓÚÆÀ¹À¸÷×ÔPKÆÊÎöÔËÐеÄУ׼ÇúÏßÊý¾ÝÈçͼ2Ëùʾ¡£¡£¡£¡£¡£¡£¡£ÔÚËùÓÐ3¸ö°¸ÀýÑо¿Öж¼ÊӲ쵽Á˵䷶µÄ·ÇÏßÐÔµÄŨ¶È-ÏìÓ¦ÇúÏß¡£¡£¡£¡£¡£¡£¡£
ͼ2. 3¸ö°¸ÀýÑо¿ÖеÄУ׼ÇúÏߣº°¸Àý A£¨a£©£¬£¬£¬£¬£¬£¬£¬£¬°¸Àý B£¨b£© ºÍ°¸Àý C£¨c£©¡£¡£¡£¡£¡£¡£¡£¸ÃͼչʾÁË3Ìõ±ê×¼ÇúÏßµÄÐÎ×´£¬£¬£¬£¬£¬£¬£¬£¬´ú±íÁËÔÚLBA²âÊÔÖÐͨ³£ÊӲ쵽µÄµä·¶·ÇÏßÐÔÏìÓ¦¡£¡£¡£¡£¡£¡£¡£XÖá´ú±íУ׼µãŨ¶ÈµÄ¶ÔÊý£¬£¬£¬£¬£¬£¬£¬£¬YÖá´ú±íÏìÓ¦¶ÁÊý£º°¸ÀýAºÍBÊÇÏà¶Ô¹âµ¥Î»£¨RLU£©£¬£¬£¬£¬£¬£¬£¬£¬°¸ÀýCÊÇ450 nM ¹âѧÃܶȣ¨OD 450£©¡£¡£¡£¡£¡£¡£¡£

ͼ3. °¸ÀýA£¨a£©¡¢°¸ÀýB£¨b£©ºÍ°¸ÀýC£¨c£©µÄÒì·½²îÐԸſö¡£¡£¡£¡£¡£¡£¡£XÖá´ú±íУ׼µãŨ¶ÈµÄ¶ÔÊý£¬£¬£¬£¬£¬£¬£¬£¬YÖá´ú±íʵÑéÔËÐÐÖвâÊÔÐźŵÄSD¡£¡£¡£¡£¡£¡£¡£

ÏÂÃæÆÀ¹ÀÁ˱í1ÖÐ3ÌõУ׼ÇúÏßÉϲâÊÔÐźŵıê×¼Îó²î£¨SD£©£¬£¬£¬£¬£¬£¬£¬£¬¸ÃSDÊÇÒì·½²îÐÔµÄÖ±½ÓÖ¸±ê¡£¡£¡£¡£¡£¡£¡£Õâ3ÌõУ׼ÇúÏßÉϲâÊÔÐźŵÄSD£¨±äÒìÐÔvariability£©²»ÊǺ㶨µÄ£¬£¬£¬£¬£¬£¬£¬£¬¶øÊÇËæ×ÅУ׼µãµÄŨ¶È¶ø¸Äת±äµÄ£¨Í¼3£©¡£¡£¡£¡£¡£¡£¡£
¹ØÓÚ°¸ÀýA£¬£¬£¬£¬£¬£¬£¬£¬µ±Ò©ÎïŨ¶ÈÁè¼Ý 20 ng/mLʱ£¬£¬£¬£¬£¬£¬£¬£¬Æä±äÒìÐÔ¼±¾çÔöÌí¡£¡£¡£¡£¡£¡£¡£ÔÚ°¸ÀýBÖУ¬£¬£¬£¬£¬£¬£¬£¬SD´ó·ùÔöÌí£¬£¬£¬£¬£¬£¬£¬£¬Ö±µ½48.3 ng/mLµÄŨ¶È£¬£¬£¬£¬£¬£¬£¬£¬²¢ÔÚ 48.3ºÍ 250 ng/mL Ö®¼ä·ºÆðϽµÇ÷ÊÆ¡£¡£¡£¡£¡£¡£¡£¹ØÓÚ°¸ÀýC £¬£¬£¬£¬£¬£¬£¬£¬SD ÔöÌí£¬£¬£¬£¬£¬£¬£¬£¬Ò»Ö±µ½23.5 ng/mLµÄŨ¶È£¬£¬£¬£¬£¬£¬£¬£¬Ö®ºóÉÔ΢½µ£¬£¬£¬£¬£¬£¬£¬£¬Ö±ÖÁ79.3 ng/mL¡£¡£¡£¡£¡£¡£¡£×ÜÌå¶øÑÔ£¬£¬£¬£¬£¬£¬£¬£¬Å¨¶È½Ï¸ßУ׼µãµÄSD´óÓÚŨ¶È½ÏµÍУ׼µã¡£¡£¡£¡£¡£¡£¡£Ð£×¼ÇúÏßÖ®¼äµÄ·Çºã¶¨ SD ģʽ´úÌåÏÖÒì·½²îÐÔ£¬£¬£¬£¬£¬£¬£¬£¬ÔڽϸßŨ¶Èϵĸ߱äÒìÐÔÅú×¢ÐèҪʹÓüÓȨÄâºÏ¡£¡£¡£¡£¡£¡£¡£Í¼1ËùʾµÄ¾öÒéÊ÷Ö¸Ã÷ÎúÔõÑùÈ·¶¨Êʵ±µÄÈ¨ÖØÒò×ӺͿÉÒÔ½ÓÊܵÄÄâºÏÄ£×Ó¡£¡£¡£¡£¡£¡£¡£
ΪÁËÈ·¶¨È¨ÖØÒò×Ó£¬£¬£¬£¬£¬£¬£¬£¬Ê×ÏÈÐèÒª´ÓÏÂÃæµÄÏßÐԻعéÖеóöбÂÊ£¨kÖµ£©£º¶ÔÊý±ä»»µÄ²âÊÔÐźÅSD vs ¶ÔÊý±äµÄ»»²âÊÔÐÅºÅÆ½¾ùÖµ£¨Í¼4£©£»£»£»£»£»£»£»£»È»ºó£¬£¬£¬£¬£¬£¬£¬£¬Ó¦Óà 1/Y2k ·½³ÌʽÀ´ÅÌËã×îÖÕµÄÈ¨ÖØº¯Êý¡£¡£¡£¡£¡£¡£¡£¹ØÓÚ°¸Àý A£¬£¬£¬£¬£¬£¬£¬£¬B ºÍ C£¬£¬£¬£¬£¬£¬£¬£¬ÏßÐԻعéµÄбÂÊ»®·ÖΪ 1.06¡¢1.00 ºÍ 0.657¡£¡£¡£¡£¡£¡£¡£¹ØÓÚ°¸Àý A ºÍ B£¬£¬£¬£¬£¬£¬£¬£¬ÓÉÓÚбÂÊ¿¿½ü1.0£¬£¬£¬£¬£¬£¬£¬£¬Òò´ËÔÚ4PLºÍ5PLÄ£×ÓÖÐʹÓÃÁËÈ¨ÖØº¯Êý1/Y2 ¡£¡£¡£¡£¡£¡£¡£¹ØÓÚ C Àý£¬£¬£¬£¬£¬£¬£¬£¬È¨Öغ¯ÊýΪ 1/Y£¬£¬£¬£¬£¬£¬£¬£¬ÓÉÓÚбÂÊ¿¿½ü 0.5¡£¡£¡£¡£¡£¡£¡£ÔÚWaston LIMSÖУ¬£¬£¬£¬£¬£¬£¬£¬Ö»ÓÐ 1/Y or 1/Y2ÕâÁ½ÖÖÈ¨ÖØº¯Êý¿ÉÓᣡ£¡£¡£¡£¡£¡£
ͼ4. °¸Àý A£¨a£©¡¢°¸Àý B £¨b£© ºÍ°¸Àý C £¨c£©ÖÐkÖµ¼òÖ±¶¨¡£¡£¡£¡£¡£¡£¡£°¸Àý A¡¢B ºÍ C µÄбÂÊ£¨kÖµ£©»®·ÖΪ 1.06¡¢1.00 ºÍ 0.657¡£¡£¡£¡£¡£¡£¡£°¸ÀýA¡¢BºÍCµÄR2£¨È·¶¨ÏµÊýcoefficient of determination£©»®·ÖΪ0.998¡¢0.984ºÍ0.934¡£¡£¡£¡£¡£¡£¡£

Ϊȷ¶¨¿ÉÒÔ½ÓÊܵÄÇúÏßÄâºÏÄ£×Ó£¬£¬£¬£¬£¬£¬£¬£¬¿¼²ìÁËÈçϲÎÊý£º4PLºÍ 5PLÄ£×Ó£»£»£»£»£»£»£»£»È¨Öغ¯Êý£º1/Y2£¨°¸ÀýA£©£¬£¬£¬£¬£¬£¬£¬£¬1/Y2£¨°¸ÀýB£©ºÍ 1/Y£¨°¸ÀýC£©£»£»£»£»£»£»£»£»½ÏÁ¿²ÎÊý£º»ØËãŨ¶ÈµÄÀÛ»ý %RE£¨Í¼5£©ºÍÀÛ»ý %CV£¨Í¼6£©¡£¡£¡£¡£¡£¡£¡£Ó¦ÖÐÑ¡ÔñÔڿɽÓÊܵĹæÄ£ÄÚ£¬£¬£¬£¬£¬£¬£¬£¬¾ßÓнϵ͵Ä%CVºÍ%REУ׼µãÊýÄ¿½Ï¶àµÄ»Ø¹éÄ£×Ó¡£¡£¡£¡£¡£¡£¡£ÈôÊÇÁ½Õß¶¼ÊÇÏ൱µÄ£¬£¬£¬£¬£¬£¬£¬£¬ÔòӦѡȡ¼ÓȨ4PL×÷Ϊ×îÖÕµÄÇúÏßÄâºÏÄ£×Ó¡£¡£¡£¡£¡£¡£¡£ÔÚ Watson LIMS ÖÐÌìÉúÿ´ÎÔËÐеĻØËãŨ¶È¡£¡£¡£¡£¡£¡£¡£ËùÓÐÇéÐεĻØËãŨ¶ÈµÄÀÛ»ý %REºÍ %CVÅÌË㣨ÔÚÇúÏßÄâºÏÄ£×ÓÈ·¶¨ÕÂ½ÚµÄ B ²¿·Ö£©¡£¡£¡£¡£¡£¡£¡£Í¼5ºÍͼ6¸ø³öÁ˼ÓȨ4PLÄ£×ÓÓë¼ÓȨ5PLÄ£×ÓµÄÀÛ»ý %REºÍÀÛ»ý %CVµÄ½ÏÁ¿¡£¡£¡£¡£¡£¡£¡£
Èçͼ5Ëùʾ£¬£¬£¬£¬£¬£¬£¬£¬¹ØÓÚ¾ßÓÐÏìÓ¦È¨ÖØº¯ÊýµÄ4PLºÍ5PLÄ£×Ó£¬£¬£¬£¬£¬£¬£¬£¬ËùÓÐУ׼µãµÄ %RE»®·Ö£º°¸ÀýA£¬£¬£¬£¬£¬£¬£¬£¬ µÍÓÚ4%ºÍ3%£»£»£»£»£»£»£»£»°¸Àý B£¬£¬£¬£¬£¬£¬£¬£¬µÍÓÚ18%ºÍ16%£»£»£»£»£»£»£»£»°¸Àý C£¬£¬£¬£¬£¬£¬£¬£¬µÍÓÚ7 ºÍ 6%¡£¡£¡£¡£¡£¡£¡£ÔÚËùÓа¸ÀýÑо¿ÖУ¬£¬£¬£¬£¬£¬£¬£¬¼ÓȨ4PLºÍ¼ÓȨ5PLÄ£×ÓµÄ׼ȷ¶ÈÊÇÏ൱µÄ£¬£¬£¬£¬£¬£¬£¬£¬¹ØÓÚ°¸Àý A¡¢B ºÍ C£¬£¬£¬£¬£¬£¬£¬£¬ËùÓÐУ׼µã¶¼ÔÚ¿ÉÒÔ½ÓÊܵĹæÄ£ÄÚ¡£¡£¡£¡£¡£¡£¡£Æ¾Ö¤×¼È·¶ÈÐÐÎªÍ¼ÍÆ¶ÏµÄ¶¨Á¿¹æÄ££¨ROQ£©»®·ÖΪ£º0.317-178 ng/mL£¨°¸ÀýA£©£¬£¬£¬£¬£¬£¬£¬£¬0.602-250 ng/mL£¨°¸ÀýB£©£¬£¬£¬£¬£¬£¬£¬£¬ºÍ1.37-79.3 ng/mL£¨°¸ÀýC£©¡£¡£¡£¡£¡£¡£¡£
ͼ5. ׼ȷ¶ÈÐÐΪͼ¡£¡£¡£¡£¡£¡£¡£¶Ô°¸ÀýA£¨a£©¡¢°¸ÀýB£¨b£©ºÍ°¸ÀýC£¨c£©ÖÐУ׼ÇúÏߵļÓȨ£¨1/Y»òÕß1/Y2£©ÄâºÏÄ£×Ó¾ÙÐÐÁ˽ÏÁ¿¡£¡£¡£¡£¡£¡£¡£½ÏÁ¿Ä£×Ó£º4PL vs 5PL£»£»£»£»£»£»£»£»½ÏÁ¿²ÎÊý£º»ØËãŨ¶ÈµÄÀÛ»ýÏà¶ÔÎó²î£¨%RE£©¡£¡£¡£¡£¡£¡£¡£Á½ÌõÐéÏßÖ®¼äµÄÇøÓòÊǿɽÓÊܹæÄ££¨¡À 20%£©¡£¡£¡£¡£¡£¡£¡££¨¡ð£©´ú±í4PL¼ÓȨÄâºÏ£¬£¬£¬£¬£¬£¬£¬£¬£¨¡õ£©´ú±í5PL¼ÓȨÄâºÏ¡£¡£¡£¡£¡£¡£¡£

ͼ6ÏÔʾ£¬£¬£¬£¬£¬£¬£¬£¬¹ØÓÚ¼ÓȨ4PLºÍ¼ÓȨ5PLÇúÏßÄâºÏÄ£×Ó£¬£¬£¬£¬£¬£¬£¬£¬ËùÓÐУ׼µãµÄÀÛ¼Æ%CV£º°¸ÀýA£¬£¬£¬£¬£¬£¬£¬£¬µÍÓÚ3.0ºÍ2.9%£»£»£»£»£»£»£»£»°¸ÀýB£¬£¬£¬£¬£¬£¬£¬£¬µÍÓÚ39.7%ºÍ26.3%£»£»£»£»£»£»£»£»°¸ÀýC£¬£¬£¬£¬£¬£¬£¬£¬µÍÓÚ6.6%ºÍ10.8%¡£¡£¡£¡£¡£¡£¡£°¸ÀýAºÍC¶ÔÁ½¸öÄâºÏÄ£×Ó¼ÓȨÄâºÏºó£¬£¬£¬£¬£¬£¬£¬£¬ËùÓÐУ׼µãµÄ %CV±äµÃÏ൱ÁË¡£¡£¡£¡£¡£¡£¡£¶Ô°¸ÀýAºÍC£¬£¬£¬£¬£¬£¬£¬£¬ËùÓÐУ׼µãµÄ¼ÓȨ4PLºÍ¼ÓȨ5PLµÄϸÃܶÈÒ²ÊÇÏàËÆµÄ¡£¡£¡£¡£¡£¡£¡£Æ¾Ö¤Ï¸ÃܶÈÐÐÎªÍ¼ÍÆ¶ÏµÄROQ»®·ÖΪ0.317-178 ng/mL£¨°¸ÀýA£©ºÍ1.37-79.3 ng/mL£¨°¸ÀýC£©¡£¡£¡£¡£¡£¡£¡£Ê¹ÓüÓȨ4PLÄ£×Ó£¬£¬£¬£¬£¬£¬£¬£¬Óë¼ÓȨ5PLÄ£×ÓÏà±È£¬£¬£¬£¬£¬£¬£¬£¬°¸ÀýB¿ÉÒÔ½ÓÊܵÄУ׼µãÊýÄ¿´Ó9ÔöÌíµ½11£¬£¬£¬£¬£¬£¬£¬£¬¼ÓȨ4PLÄ£×ӵĹÀËãµÄROQ Ϊ 0.602-145 ng/mL£¬£¬£¬£¬£¬£¬£¬£¬¶ø¼ÓȨ5PLÄ£×ӵļì²â¹æÄ£½ÏÕ£º0.602 - 48.3 ng/mL¡£¡£¡£¡£¡£¡£¡£Æ¾Ö¤½ÓÊܱê×¼£¬£¬£¬£¬£¬£¬£¬£¬¹ØÓÚ°¸Àý A¡¢B ºÍ C £¬£¬£¬£¬£¬£¬£¬£¬×îÖÕ¿ÉÒÔ½ÓÊܵÄÇúÏßÄâºÏÄ£×Ó¶¼ÊÇ4PL£¬£¬£¬£¬£¬£¬£¬£¬È¨Öغ¯Êý»®·ÖΪ 1/Y2£¬£¬£¬£¬£¬£¬£¬£¬1/Y2ºÍ1/Y¡£¡£¡£¡£¡£¡£¡£
ͼ6. ϸÃܶÈÐÐΪͼ£º°¸ÀýA£¨a£©£¬£¬£¬£¬£¬£¬£¬£¬°¸ÀýB£¨b£©ºÍ°¸ÀýC£¨c£©½ÏÁ¿Ä£×Ó£º¼ÓȨ4PL vs ¼ÓȨ5PL£»£»£»£»£»£»£»£»½ÏÁ¿²ÎÊý£º»ØËãŨ¶ÈµÄ %CV¡£¡£¡£¡£¡£¡£¡£ÐéÏߺÍXÖáÖ®¼äµÄÇøÓòÊǿɽÓÊܹæÄ££¨¡À 20%£©¡£¡£¡£¡£¡£¡£¡££¨¡ð£©´ú±í 4PL ¼ÓȨÄâºÏ£¬£¬£¬£¬£¬£¬£¬£¬£¨¡õ£©´ú±í 5PL ¼ÓȨÄâºÏ¡£¡£¡£¡£¡£¡£¡£

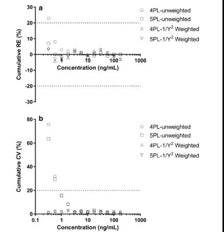
ͼ7ÑÝʾÁ˶԰¸Àý A Ó¦ÓÃÉÏÊö¼Æ»®ºó£¬£¬£¬£¬£¬£¬£¬£¬Ð£×¼ÇúÏßÐÔÄÜÊÇÔõÑùË¢Ðµģ¨´Ë´¦²»ÏÔʾ°¸ÀýBºÍCµÄͼ±í£©¡£¡£¡£¡£¡£¡£¡£Ê¹Ó÷ǼÓȨ4PL»Ø¹éÄ£×Ó»ØËãŨ¶È»æÖƵÄ׼ȷ¶ÈÐÐΪͼ£¨ÀÛ»ý %RE£¬£¬£¬£¬£¬£¬£¬£¬Í¼7a£©Åú×¢£¬£¬£¬£¬£¬£¬£¬£¬Óë¼ÓȨÏà±È´ËÄ£×ÓÌåÏÖ³ö¸üյĶ¯Ì¬¹æÄ££¬£¬£¬£¬£¬£¬£¬£¬0.563-178 ng/mL£»£»£»£»£»£»£»£»¼ÓȨ4PLÄ£×Ó£º0.317-178 ng/mL¡£¡£¡£¡£¡£¡£¡£·Ç¼ÓȨ 5PL»Ø¹éÄ£×ÓÏÔʾ¸üºÃµÄ׼ȷ¶È£ºËùÓÐУ׼µãµÍÓÚ20%¡£¡£¡£¡£¡£¡£¡£¿ÉÊÇ£¬£¬£¬£¬£¬£¬£¬£¬ÔÚÓ¦ÓÃ1/Y2µÄÈ¨ÖØº¯Êý£¨ÔÚ¡°Òì·½²î¶ÈÆÀ¹À¡±Õ½ÚÈ·¶¨£©ºó£¬£¬£¬£¬£¬£¬£¬£¬ ËùÓÐУ׼µãµÄÀÛ»ý %RE»ñµÃ¸ÄÉÆ£¬£¬£¬£¬£¬£¬£¬£¬¶¼ÔÚ¡À3%ÒÔÄÚ£¨Í¼7a£©¡£¡£¡£¡£¡£¡£¡£
ϸÃܶÈÐÐΪͼ£¨ÀÛ»ý %CV£¬£¬£¬£¬£¬£¬£¬£¬Í¼7b£©ÏÔʾ£¬£¬£¬£¬£¬£¬£¬£¬·Ç¼ÓȨ4PLºÍ5PL»Ø¹éÄ£×ÓµÄROQÏÔÖøÏÁÕ£º1.00-178 ng/mL£»£»£»£»£»£»£»£»¶øÔÚʹÓÃÁË1/Y2 µÄÈ¨ÖØº¯Êýºó£¬£¬£¬£¬£¬£¬£¬£¬ROQ±äΪ0.317-178 ng/mL¡£¡£¡£¡£¡£¡£¡£¸ÃУ׼ÇúÏߵͶ˵ÄЧÄܵÄÏÔÖø¸ÄÉÆÏÔʾÁ˼ÓȨÄâºÏµÄÁ¦Á¿£¬£¬£¬£¬£¬£¬£¬£¬ÒòÆä½µµÍÁ˸߱äÒìÐԵIJâÊÔÐźŶÔÇúÏßÄâºÏµÄÓ°Ïì¡£¡£¡£¡£¡£¡£¡£°¸ÀýAÅú×¢£¬£¬£¬£¬£¬£¬£¬£¬Ê¹ÓÃÊʵ±µÄÈ¨ÖØº¯Êý¿ÉÒÔÌá¸ßϸÃܶȺÍ׼ȷ¶È£¨¾ùµÍÓÚ4%£©ÒÔ¼°À©Õ¹¶¨Á¿¹æÄ££¨0.317-178 ng/mL£©¡£¡£¡£¡£¡£¡£¡£
ͼ7. °¸ÀýA±ê×¼ÇúÏß¼ÓȨ֮ǰºÍÖ®ºó£¬£¬£¬£¬£¬£¬£¬£¬4PLºÍ5PLÄ£×ÓµÄ׼ȷ¶ÈºÍϸÃܶÈÐÐΪͼ¡£¡£¡£¡£¡£¡£¡£ÀÛ»ý %RE£¨Í¼ 7a£©ºÍÀÛ¼Æ %CV£¨Í¼7b£©ÔÚÄ£×ÓÖ®¼äµÄ½ÏÁ¿£º4PL vs. 5PL£¨ÎÞÈ¨ÖØ£©£»£»£»£»£»£»£»£»ÒÔ¼°4PL vs. 5PL£¨È¨ÖØÒò×Ó£º1/Y2£©¡£¡£¡£¡£¡£¡£¡£

±í2ÏÔʾ£¬£¬£¬£¬£¬£¬£¬£¬Ê¹ÓÃÊʵ±µÄÈ¨ÖØº¯Êý¿ÉÒÔÀ©Õ¹ROQ¡£¡£¡£¡£¡£¡£¡£¶Ô°¸ÀýB£¬£¬£¬£¬£¬£¬£¬£¬Ó¦ÓÃÈ¨ÖØº¯Êýµ½4PL»Ø¹éÄ£×Ӻ󣬣¬£¬£¬£¬£¬£¬£¬ROQ»ñµÃÏÔÖøÀ©Õ¹£»£»£»£»£»£»£»£»´Óδ¼ÓȨµÄ1.04-48.3 ng/mLµ½ ¼ÓȨµÄ0.602-145 ng/mL£»£»£»£»£»£»£»£»¼ÓȨ5PLÄ£×ÓµÄROQ£¬£¬£¬£¬£¬£¬£¬£¬Ôò´Óδ¼ÓȨ1.04-145 ng/mL±äΪ¼ÓȨµÄ0.602-48.3 ng/mL¡£¡£¡£¡£¡£¡£¡£¶Ô°¸ÀýC£¬£¬£¬£¬£¬£¬£¬£¬4PLÄ£×ÓµÄROQÂÔÓÐÀ©Õ¹£º´Óδ¼ÓȨµÄ2.06-79.3 ng/mL£¬£¬£¬£¬£¬£¬£¬£¬µ½¼ÓȨµÄ1.37-79.3 ng/mL¡£¡£¡£¡£¡£¡£¡£¹ØÓÚ5PLÄ£×Ó£¬£¬£¬£¬£¬£¬£¬£¬Ê¹ÓÃÈ¨ÖØº¯ÊýºóROQûÓÐÔöÌí¡£¡£¡£¡£¡£¡£¡£

±¾ÎÄΪȷ¶¨LBA¶¨Á¿ÆÊÎöÒªÁìÖÐУ׼ÇúÏߵĻعéÄ£×Ó¼°È¨Öغ¯ÊýµÄÑ¡Ôñ£¬£¬£¬£¬£¬£¬£¬£¬ÌṩÁËÒ»¸ö¾öÒéÊ÷ºÍÏìÓ¦µÄÒªÁ죬£¬£¬£¬£¬£¬£¬£¬Ä¿µÄÊÇΪÁËΪïÔÌÒì·½²îÐÔ£¨heteroscedasticity£©µÄÓ°Ïì¡£¡£¡£¡£¡£¡£¡£±¾ÎĵĽ¨Òé»ñµÃ3¸ö°¸ÀýÑо¿µÄÖ§³Ö¡£¡£¡£¡£¡£¡£¡£
ÓÉÓÚLBAÖÐÆ½ºâÍŽᣨequilibrium binding£©µÄÌØÕ÷£¬£¬£¬£¬£¬£¬£¬£¬Êµ¼ùÖо³£ÊӲ쵽²âÊÔÏìÓ¦µÄ·Çºã¶¨·½²î£¬£¬£¬£¬£¬£¬£¬£¬³ÆÎªÒì·½²îÐÔ£¨heteroscedasticity£©¡£¡£¡£¡£¡£¡£¡£±¾ÎÄ·¢Ã÷ÏßÐԻعéбÂÊÒªÁ죨linear regression slope approach£©Êǽâ¾öÒì·½²îÐÔ×îÏÖʵµÄÒªÁì¡£¡£¡£¡£¡£¡£¡£
ÔÚÒªÁ쿪·¢Àú³ÌÖУ¬£¬£¬£¬£¬£¬£¬£¬¿ÉÒÔ»æÖÆÐ£×¼ÇúÏߵIJâÊÔÐźŵıê×¼·½²î£¨standard deviation£¬£¬£¬£¬£¬£¬£¬£¬SD£©ÓëУ׼µãŨ¶ÈµÄ¶ÔÊýµÄÏà¹ØÍ¼¡£¡£¡£¡£¡£¡£¡£Ò»ÌõУ׼ÇúÏߵķǺ㶨SDÇ÷ÊÆÅú×¢±£´æÒì·½²îÐÔ£¬£¬£¬£¬£¬£¬£¬£¬ÕâÒâζ×ÅÐèҪʹÓÃÈ¨ÖØº¯Êý¡£¡£¡£¡£¡£¡£¡£ËùÓеÄ3¸ö°¸ÀýÑо¿£¨A£¬£¬£¬£¬£¬£¬£¬£¬B ºÍ C£©¶¼ÏÔʾ£¬£¬£¬£¬£¬£¬£¬£¬²âÊÔÐźÅÔڽϸßÒ©ÎïŨ¶ÈÏ£¬£¬£¬£¬£¬£¬£¬£¬¾ßÓиü¸ßµÄ±äÒìÐÔ£¬£¬£¬£¬£¬£¬£¬£¬ÐèÒª¼ÓȨÄâºÏУ׼ÇúÏß¡£¡£¡£¡£¡£¡£¡£Ò»Ñùƽ³£¶øÑÔ£¬£¬£¬£¬£¬£¬£¬£¬ÈκÎÒ»¸öLBA¶¨Á¿ÆÊÎöÒªÁ죬£¬£¬£¬£¬£¬£¬£¬¶¼»áÊÜÒæÓÚʹÓÃÈ¨ÖØº¯Êý¡£¡£¡£¡£¡£¡£¡£
ÐèÒª×¢ÖØµÄÊÇ£¬£¬£¬£¬£¬£¬£¬£¬Ò»µ©È·¶¨ÐèÒªÈ¨ÖØÒò×Ó£¬£¬£¬£¬£¬£¬£¬£¬ÔõÑùÈ·¶¨×¼È·µÄÈ¨ÖØÒò×ÓÔò³ÉÎªÖØÖÐÖ®ÖØ¡£¡£¡£¡£¡£¡£¡£±¾ÎÄÍÆ¼öµÄÒªÁìÊÇ£ºÊ×ÏÈ£¬£¬£¬£¬£¬£¬£¬£¬´Ó²âÊÔÐźţ¨Y£©µÄ±ê×¼·½²î£¨¶ÔÊý±ä»»ºó£©Óë²âÊÔÐÅºÅÆ½¾ùÖµ£¨¶ÔÊý±ä»»ºó£©µÄÏßÐÔ»Ø¹é¹ØÏµÖУ¬£¬£¬£¬£¬£¬£¬£¬È·¶¨ÆäбÂÊ£¬£¬£¬£¬£¬£¬£¬£¬ÓÖ³ÆkÖµ£»£»£»£»£»£»£»£»È»ºó£¬£¬£¬£¬£¬£¬£¬£¬½«Ð±ÂÊ£¨k£© ´úÈëÒÔÏ·½³Ì 1/Y2k ÖУ¬£¬£¬£¬£¬£¬£¬£¬ÒÔÈ·¶¨È¨ÖØÒò×Ó£¨1/Y »ò 1/Y2£©¡£¡£¡£¡£¡£¡£¡£
ÔÚ°¸ÀýÑо¿ A¡¢B¡¢C ÖУ¬£¬£¬£¬£¬£¬£¬£¬ÏßÐԻعéµÄбÂÊ»®·ÖΪ 1.06£¬£¬£¬£¬£¬£¬£¬£¬1.00 ºÍ 0.657; Òò´Ë£¬£¬£¬£¬£¬£¬£¬£¬È¨ÖØÒò×Ó»®·ÖÔ¤¼ÆÎª2£¬£¬£¬£¬£¬£¬£¬£¬2ºÍ1¡£¡£¡£¡£¡£¡£¡£ÔÚ°¸ÀýAºÍBÖУ¬£¬£¬£¬£¬£¬£¬£¬È¨ÖØÒò×ÓΪ2; Òò´Ë£¬£¬£¬£¬£¬£¬£¬£¬ÔÚУ׼ÇúÏ߻عéÄ£×Ó£¨4PL»ò5PL£©ÖУ¬£¬£¬£¬£¬£¬£¬£¬Ê¹ÓÃÁËÈ¨ÖØº¯Êý1/Y2¡£¡£¡£¡£¡£¡£¡£¹ØÓÚ°¸ÀýC£¬£¬£¬£¬£¬£¬£¬£¬È¨ÖØÏµÊýΪ 1; Òò´Ë£¬£¬£¬£¬£¬£¬£¬£¬È¨Öغ¯ÊýΪ 1/Y¡£¡£¡£¡£¡£¡£¡£
ΪÁËÈ·¶¨¿É½ÓÊܵÄÇúÏßÄâºÏÄ£×Ó£¬£¬£¬£¬£¬£¬£¬£¬Ó¦ÆÀ¹ÀÄâºÏÇúÏßµÄ4PLÓë5PLÄ£×Ó£¨²»¼ÓȨºÍ¼ÓȨ£©»ØËãŨ¶ÈµÄÀÛ»ý %REºÍÀÛ»ý %CV¡£¡£¡£¡£¡£¡£¡£Ó¦ÖÐÑ¡Ôñ£¬£¬£¬£¬£¬£¬£¬£¬ÔڿɽÓÊܵĹæÄ£ÄÚ£¬£¬£¬£¬£¬£¬£¬£¬¾ßÓнϵ͵Ä%CVºÍ%RE£¬£¬£¬£¬£¬£¬£¬£¬Ð£×¼µãÊýÄ¿½Ï¶àµÄ»Ø¹éÄ£×Ó¡£¡£¡£¡£¡£¡£¡£ÈôÊÇÁ½Õß¶¼ÊÇÏ൱µÄ£¬£¬£¬£¬£¬£¬£¬£¬ÔòÑ¡Ôñ¼ÓȨ4PLÄ£×Ó×÷Ϊ×îÖÕÇúÏßÄâºÏÄ£×Ó£¬£¬£¬£¬£¬£¬£¬£¬¾ÙÐÐÒªÁìÑéÖ¤ºÍÑùÌìÖ°Îö¡£¡£¡£¡£¡£¡£¡£Æ¾Ö¤ FDA Ö¸ÄÏ£¬£¬£¬£¬£¬£¬£¬£¬Ó¦ÖÐÑ¡Ôñ¼ÙÉè×îÉÙµÄÄ£×Ó£¬£¬£¬£¬£¬£¬£¬£¬¼´Ñ¡Ôñ×î¼òÆÓµÄÄ£×Ó¡£¡£¡£¡£¡£¡£¡£Æ¾Ö¤Ï¸ÃܶȺÍ׼ȷ¶ÈÊý¾Ý£¬£¬£¬£¬£¬£¬£¬£¬ÔÚËùÓÐ3¸ö°¸ÀýÖУ¬£¬£¬£¬£¬£¬£¬£¬4PL¶¼ÊÇ»ùÓÚÕâЩ±ê×¼µÄ×î¼Ñ»Ø¹éÄ£×Ó¡£¡£¡£¡£¡£¡£¡£
ΪÁËÑéÖ¤ËùÑ¡Ôñ»Ø¹éÄ£×ÓºÍÈ¨ÖØº¯Êý£¬£¬£¬£¬£¬£¬£¬£¬¿ÉÒÔ×öÆäËûÆÀ¹À¡£¡£¡£¡£¡£¡£¡£ÀýÈ磬£¬£¬£¬£¬£¬£¬£¬ÔÚʹÓÃÈ¨ÖØº¯Êý֮ǰºÍÖ®ºó£¬£¬£¬£¬£¬£¬£¬£¬¿ÉÒÔ½ÏÁ¿4PLºÍ5PLÄ£×ÓµÄ׼ȷ¶ÈºÍϸÃܶÈÐÐΪ¡£¡£¡£¡£¡£¡£¡£±¾Îĸø³öÁË4PLÓë5PL£¨ÎÞ¼ÓȨºÍ 1/Y2¼ÓȨ£©µÄÀÛ»ý %CV ºÍÀÛ»ý %RE µÄ½ÏÁ¿£¬£¬£¬£¬£¬£¬£¬£¬ÀÛ»ý %REµÄ¿É½ÓÊܹæÄ£Îª¡À 20%£¬£¬£¬£¬£¬£¬£¬£¬ÀÛ»ý %CV µÄ¿É½ÓÊܹæÄ£Îª¡Ü20%¡£¡£¡£¡£¡£¡£¡£
°¸ÀýAÅú×¢£¬£¬£¬£¬£¬£¬£¬£¬Ê¹ÓÃÊʵ±µÄÈ¨ÖØº¯Êý¿ÉÒÔÌá¸ßϸÃܶȺÍ׼ȷÐÔ£¨¾ùµÍÓÚ10%£©ºÍÀ©Õ¹¶¨Á¿¹æÄ££¨0.317-178 ng/mL£©¡£¡£¡£¡£¡£¡£¡£ÔÚ°¸ÀýBºÍCÖУ¬£¬£¬£¬£¬£¬£¬£¬Ð£×¼ÇúÏßÄâºÏÒ²ÓиÄÉÆ¡£¡£¡£¡£¡£¡£¡£°¸ÀýBÔÚ4PL»Ø¹éÄ£×ÓÉϼÓȨºó£¬£¬£¬£¬£¬£¬£¬£¬ROQ»ñµÃÏÔÖøÀ©Õ¹£ºÎ´¼ÓȨʱΪ1.04-48.3 ng/mL£»£»£»£»£»£»£»£»¼ÓȨºóΪ 0.602-145 ng/mL£»£»£»£»£»£»£»£»5PLÄ£×Ó£¬£¬£¬£¬£¬£¬£¬£¬Î´¼ÓȨ1.04-145 ng/mL£¬£¬£¬£¬£¬£¬£¬£¬¼ÓȨºó0.602-48.3 ng/mL¡£¡£¡£¡£¡£¡£¡£°¸ÀýC4PLÄ£×ÓÔÚ¼ÓȨºóROQ ÂÔÓÐÀ©Õ¹£ºÎ´¼ÓȨ2.06-79.3 ng/mL£»£»£»£»£»£»£»£»¼ÓȨΪ1.37-79.3 ng/mL¡£¡£¡£¡£¡£¡£¡£
ÔÚ¶¨Á¿ LBA ÒªÁ쿪·¢Àú³ÌÖУ¬£¬£¬£¬£¬£¬£¬£¬±¾ÎÄÏÈÈÝÁËÒ»¸ö¼òÆÓ¡¢Ò×ÓÚʹÓõľöÒéÊ÷£¬£¬£¬£¬£¬£¬£¬£¬ÒÔÈ·¶¨Ð£×¼ÇúÏßµÄ×î¼Ñ»Ø¹éÄ£×ÓºÍÈ¨ÖØ¡£¡£¡£¡£¡£¡£¡£ËùÍÆ¼öµÄÒªÁ콫ѡÔñÒ»¸ö¼ÓȨµÄÇúÏßÄâºÏÄ£×Ó¡£¡£¡£¡£¡£¡£¡£
1. ÔÚÒªÁ쿪·¢Àú³ÌÖУ¬£¬£¬£¬£¬£¬£¬£¬ÖÁÉÙÐèҪʹÓÃ3¸ö×ÔÁ¦µÄ²âÊÔÔËÐжÔÄ£×ÓÑ¡Ôñ¾ÙÐÐÆðÔ´ÆÀ¹À; ¿ÉÊÇ£¬£¬£¬£¬£¬£¬£¬£¬Ò»Ñùƽ³£½¨ÒéÔöÌíÔËÐеÄÊýÄ¿£¬£¬£¬£¬£¬£¬£¬£¬ÒÔ±ãÔÚÑо¿Ç°Ñé֤ʱ£¬£¬£¬£¬£¬£¬£¬£¬ÑéÖ¤ÇúÏßÄâºÏÄ£×Ó¡£¡£¡£¡£¡£¡£¡£ÓÉÓÚ¶ÔÏìÓ¦-Îó²î¹ØÏµµÄÔ¤¼Æ±£´æ¾ÖÏÞÐÔ£¬£¬£¬£¬£¬£¬£¬£¬Òò´Ë²»½¨ÒéʹÓýÏСµÄÊý¾ÝÜöÝÍ£»£»£»£»£»£»£»£»
2. ÆÀ¹ÀÒì·½²îÐÔ£»£»£»£»£»£»£»£»
3. ÈôÊDZ£´æÒì·½²îÐÔ£¬£¬£¬£¬£¬£¬£¬£¬¾Íͨ¹ýбÂÊÒªÁìÈ·kÖµ£¨¼´Ð±ÂÊ£©£¬£¬£¬£¬£¬£¬£¬£¬È»ºóÅÌËãÈ¨ÖØÒò×Ó£¨È¨Öغ¯Êý=1/Y2k£©£»£»£»£»£»£»£»£»
4. ʹÓÃ׼ȷ¶È£¨%RE£©ºÍϸÃܶȣ¨%CV£©ÐÐΪÀ´Ñ¡ÔñºÍÑéÖ¤¸üºÃµÄ¼ÓȨ»Ø¹éÄ£×Ó£»£»£»£»£»£»£»£»
5. ½¨ÒéʹÓÃ×ÔÁ¦ÖƱ¸µÄÖÊÁ¿¿ØÖÆÑùÆ·£¨QC£©À´ÑéÖ¤ÆÊÎöÒªÁìµÄ¶¨Á¿¹æÄ£¡£¡£¡£¡£¡£¡£¡£
±¾ÎÄÈôÓÐÊ詺ÍÎó¶ÁÏà¹ØÖ¸ÄϺÍÊý¾ÝµÄµØ·½£¬£¬£¬£¬£¬£¬£¬£¬Çë¶ÁÕß̸ÂÛºÍÖ¸Õý¡£¡£¡£¡£¡£¡£¡£ËùÓÐÒýÓõÄÔʼÐÅÏ¢ºÍ×ÊÁϾùÀ´×ÔÒѾ½ÒÏþѧÊõÆÚ¿¯, ¹Ù·½ÍøÂ籨µÀ, µÈ¹ûÕæÇþµÀ, ²»Éæ¼°Èκα£ÃÜÐÅÏ¢¡£¡£¡£¡£¡£¡£¡£²Î¿¼ÎÄÏ×µÄÑ¡Ôñ˼Á¿µ½¶àÑù»¯µ«Ò²²»¿ÉÄÜÍêÕû¡£¡£¡£¡£¡£¡£¡£»£»£»£»£»£»£»£»¶Ó¶ÁÕßÌṩÓмÛÖµµÄÎÄÏ×¼°ÆäÆÀ¹À¡£¡£¡£¡£¡£¡£¡£


ÔÁ¹«Íø°²±¸ 44011202001884ºÅ

ÔÁ¹«Íø°²±¸ 44011202001884ºÅ